Bob Bolch
Bob Bolch
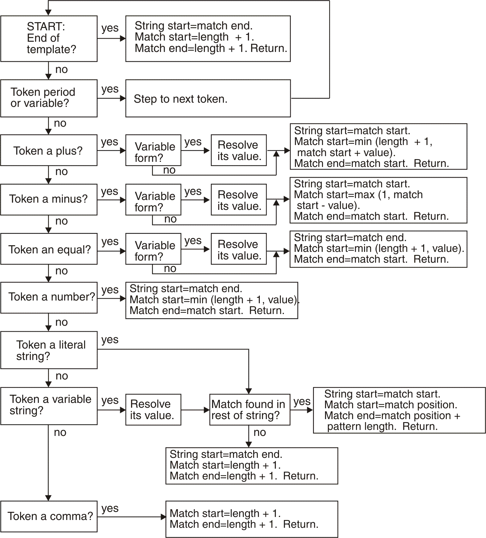
PARSE produces incorrect results when literals are present in the template.    These 3 diagrams show the proper operation of the REXX PARSE statement. The process described in...
This command disassembles binary programs back to source. Mike is modernizing it and extracting the source code for distribution on the Community Edition.
From Rene Ferland: In the description of DOSIPL EXEC content, replace IPL 360 by CP IPL 360. Without the CP prefix, the command will not be run (because it is...
Need a writeup for this.
Allow specification of filetype for a REXX macro in an IBM FBLOCK. Note that the in-core EXEC support is not yet available. Modify REXX.C to use the filetype specified in...
Added to h390-vm on 12/11/22 by Kevin
Dave Mitchell via groups.io 8:33 AM (24 minutes ago) to h390-vm I seem to have stumbled on a bug in the way the parse instruction works in BREXX specifically when...
If I edit an existing file. E.g. EE TEST FILE A Or EE TEST FILE The filemode is set to “A1” even if the existing file is “A2”.
I opened this issue with the original BREXX implementation. The bug has been carried over into the MVS and CMS versions of BREXX. https://github.com/vlachoudis/brexx/issues/8 All versions of BREXX have...