Mu Hu
Mu Hu
> Hi JUGGHM, many thanks for checking my point and doing the new measurements. The times you measured in different ways seem pretty similar, not sure why I get such...
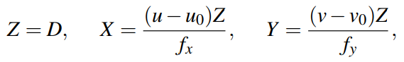
Thanks for your interest! You could calculate the 3D coordinate via:  and transform them back from the camera's coordinate to the LiDaR's coordinate. Be careful of the transformation matrices....
That's right. And you could refer to the code in `model.py,` `basic.py` and `CoordConv.py` for calculating coordinates.
> > ok thank you very much, In https://github.com/KirkZhengYW/Pseudo_Lidar_V2/blob/b2c35951e7a17ea3a6594fac57c95ab350b08c1b/src/preprocess/generate_lidar_from_depth.py#L40 mentioned "kitti_09_30_20_prediction_validpix_02" do you mean annotated depth map here ? > > I have one more question, is it possible to...
> Hi, @JUGGHM I couldn't understand from mentioned question. can you explain me how its related to my request ? Thank you Oh I think I misunderstood your question. Now...
> Hi, @Laihu08. I have tried to utilize functions in [https://github.com/JUGGHM/PENet_ICRA2021/blob/main/vis_utils.py#L106](url) to save .png depth map but some other problems come up: > ① > > > ’img‘ has no...
> > Thanks for your interest! You could calculate the 3D coordinate via: > >  > > and transform them back from the camera's coordinate to the LiDaR's coordinate....
Thanks for your interest! It is recommend that you could resize the kitti depth dataset into an expected image size during training and train the depth completion models from scratch....
Thanks for your interest! The input data is down-sampled 5 times so both the height and width must be integer multiple of 2^5=32. So you could crop the width to...
>  您好,您的工作非常出色! 我想将他应用于KITTI-odometry数据集上,并使用了PENet的预训练模型,但是效果不尽如人意。想请问一下您对此问题的建议。 万分感谢! 感谢你的关注!据我所知KITTI-odometry数据集的分辨率与KITTI depth不同,稀疏深度的稀疏程度也不一致。或许你可以尝试将KITTI depth数据resize到相同尺度下进行训练。