Michael Abbott
Michael Abbott
It still seems confusing to me to have two docstrings for `Int` and `Int64` when these are `===`. I have not built this branch, and am not quite sure whether...
The other advantage of numbering is that it lets you re-use the same argument: ```julia sort(xs, by= -> _.re + _.im/100) # x -> x.re + x.im/100 sort(xs, lt= ->...
Thanks for gathering these, @bramtayl. In the "multiple arguments" list, it looks like 12/28 *don't* follow the simple pattern of using every argument, exactly once, in order, and not as...
@xitology If you haven't seen it, https://github.com/tkf/UnderscoreOh.jl uses broadcast like this, as a marker of where the function stops. @rapus95 I think `filter(isodd.(_), 1:10)` resolves to `filter(x -> isodd(x), 1:10)`,...
I think the behaviour is already to skip points, fixed here: https://github.com/JuliaPlots/RecipesPipeline.jl/pull/61 . This follows the precedent of linear scale plots skipping NaN and Inf. What fails, however, is the...
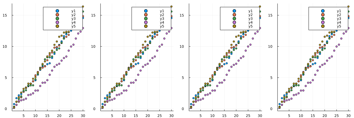
Thanks for digging. One further change which this doesn't revert is that the y-axis ticks are calculated differently. Not sure which is better (my real case fixed them by hand).
Maybe the scatter example is closer to what initially surprised me, as the points seem marooned out in space. (I had turned the legend box off too.) 
I see no difference at the default figure size:
4 plots within the default seems a very crowded case no matter what, I guess I would vote for the legend being pretty tight here rather than taking up too...
> Why should the legend box scale? To be clear, the original surprise above is that the legend box *does* now scale, when subplots are combined into a larger plot....