Jonathan Fraine
Jonathan Fraine
Dear @JohannesBuchner, I was previously able to run multinest on my mac for many months. Then I stepped away from the project and came back to re-install it on a...
Update: I previously installed pymultinest from `pip install pymultinest`, which crashed often (same error as above); but now I installed it from the github repo (here) instead. All small tests...
I installed: (1) openmpi version 2.0.4 (manually; via command line) (2) MultiNest version v 3.10 (via github) (3) PyMultiNest version 2.6 (via github) That seemed to work the best. If...
I was able to get everything to work together, but I had to mix 2 streams of instruction sets. Here is how my versioning was successful: **Installing MPI with Fortran...
Indeed, my versions are: Python 3.6.4 Anaconda3-5.1.0 MacOSX x86_64 version 10.13.3 ('High Sierra')
Moreover, I did try to install with `pip install pymultinest` but *think* that I remember it did not work. That is a very loose *think*.
> Modeling the sigmoid with spherical harmonics will no doubt require going to higher values of `l`. One issue that may arise if the transition is too sharp is a...
> @ericagol Right, we need to be clever in the expansion. As far as I understand it, the sigmoid shape is rather ad hoc, so it shouldn't be hard to...
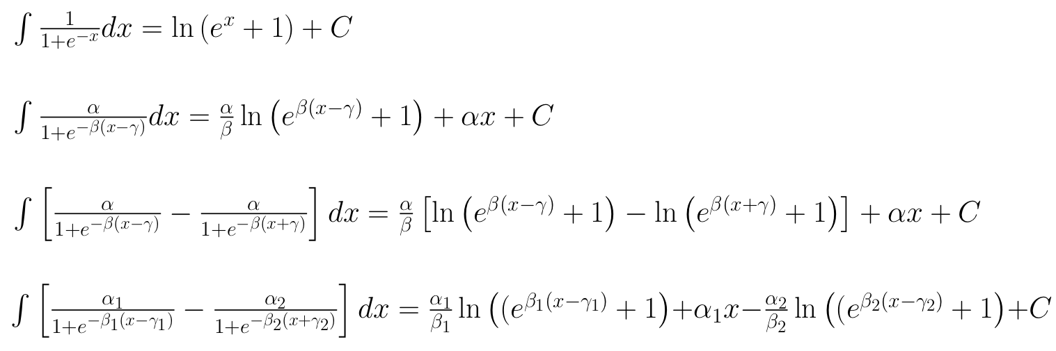
@kevin218: Yes, the sigmoid has an analytic integral solution as well:  **[Note: please confirm my Wolfram Alpha skills]** Specifically, I could not confirm by hand that the fully parameterized...
In fact, the method to solve this integral is to multiply the top and bottom by `exp{b(x-c)}` and re-parameterize `y = exp{b(x-c)} + 1` and `dy = b exp{b(x-c)} dx`;...