Clare S. Y. Huang
Clare S. Y. Huang
I'm interested in helping. To satisfy the requirement, am I supposed to modify the `PrivateKey` class: https://github.com/chainside/btcpy/blob/7e95e9e43be0506f165381ae85f16705e616ff9f/btcpy/structs/crypto.py Would you mind defining the class more precisely? Thanks! 🙂
@SimoneBronzini Thanks! I've submitted a pull request #59 with this new function. Let me know if there are more things to add. 🙂 If you approve my pull request, may...
Hi @SimoneBronzini I have made the change you mentioned and pushed the commit. May you have a look and let me know if that's OK? Thanks!
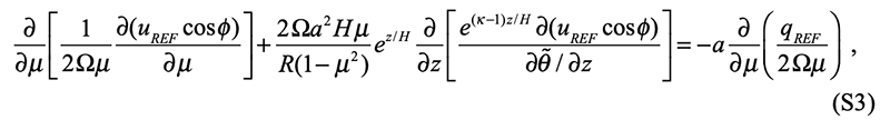
@AminFazlKazemi Equation S3 is in the supplementary materials of the Science paper:  In realistic atmosphere, `Uref` is not conserved due to non-conservative...
@AminFazlKazemi On top of the variable of the equations being different, NS10 and NH18 are using different boundary conditions. NS10 uses the two poles as boundary, while NH18 is using...
Hi @AminFazlKazemi , in NHN22 we use direct solver instead of SOR since we have MKL installed. The numerical procedures are outlined in supplementary materials: https://agupubs.onlinelibrary.wiley.com/action/downloadSupplement?doi=10.1029%2F2021GL097699&file=2021GL097699-sup-0001-Supporting+Information+SI-S01.pdf Equation (16) is the...
Hi Christopher, thanks for submitting this pull request. I haven't got time to research into methods for compiling f2py with this adjustment yet, so let's do this in a future...
@chpolste Sorry I accidentally deleted `release1.0` branch such that this ticket is automatically closed. I have updated the branch `pyproject-toml` and wonder if this PR can be reopen? Update: the...
Some references from Sandro: https://www.ncl.ucar.edu/Applications/vert_interp.shtml
Hi @Pragallva , I'm looking into your code to interpolate from hybrid coordinate to pressure levels. Yeah - it is pathetically slow 😢 took me 4 seconds to interpolate via...