p0nce
p0nce
I don't plan on relying on this :) I think I'll just use void* and mark the functions as `@system`, will keep compat with copy-pasted code, and some of the...
Sure :) I was wondering what happened to you!
audio-formats has TDPF (courtesy of MIT-licensed Airwindows, tuned and modified by me to fit WAV) dithering in its QOA encoder now: https://github.com/AuburnSounds/audio-formats/blob/master/source/audioformats/qoa.d#L724 It was tuned for WAV. imo It's more...
After implementing both CLAP and LV2 the LV2 side seems quite redundant, and have some significant oddities regarding buses, presets, etc while CLAP is close to perfect.

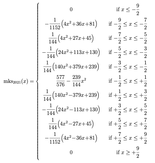
Analytic formula: 
Looks more correct, but less sharp than MKS2013 86%. Quite serene and a bit less aggressive, but not as poppy on small text of course.
Best of 5 measurements: MKS2021 is 23% slower than MKS2013 86%.
Will be kept but unused for now.
Now that our resizing is faster with `stb_image_resize2-d`, could perhaps favorize the serene MKS 2021 since there is something I don't like in MKS2013 86%. Need to compare on the...