Dmitry
Dmitry
### Before submitting an issue, please check the following - [x] I have searched for similar issues (both open and closed) and cannot find a duplicate - [x] I agree...
**System information**. - Have I written custom code (as opposed to using a stock example script provided in Keras): yes - OS Platform and Distribution (e.g., Linux Ubuntu 16.04): Colab...
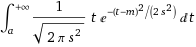
Sympy fails to evaluate the following integral:  This is almost exactly the expectation of normal distribution, with the exception that the integral is taken from `a` instead of `-∞`....
Guake window opens to full desktop when triggered via shortcut. Then, after resizing the window with Ctrl+↑, it jumps to the right (effectively leaving a part of the window outside...
 I think the problem is self-evident — the preview looks very ugly on a transparent background. Sublime build 3126, LaTeXTools 3.12.11. (Completely unrelated note: I found the LaTeXTools version...