maftools
maftools copied to clipboard
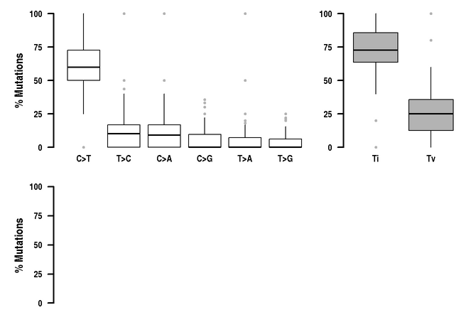
TiTv Stacked Bar Plot Fails Unless Cairo is Bitmap Type
I take the example code from the documentation of titv. If I don't change any setting, it fails with
## Warning in xypolygon(xx, yy, lty = "blank", col = boxfill[i]): semi-
## transparency is not supported on this device: reported only once per page
and the plot is incomplete and also missing colours.

It's because
> getOption("bitmapType")
[1] "Xlib"
If I add options(bitmapType = "cairo") to the top of the R Markdown document and knit it again, I see the complete and correct plot. Perhaps this required setting should be documented. Or, this warning could be caught and solid colours automatically used instead of transparency.
> sessionInfo()
R version 3.5.2 (2018-12-20)
Platform: x86_64-pc-linux-gnu (64-bit)
Running under: Ubuntu 18.04.1 LTS
Matrix products: default
BLAS: /usr/local/lib/R/lib/libRblas.so
LAPACK: /usr/local/lib/R/lib/libRlapack.so
Oh I see! Never encountered this till now. Thanks you for pointing, I will fix it.
This issue is stale because it has been open for 60 days with no activity.
This issue was closed because it has been inactive for 14 days since being marked as stale.