Bill Lattner
Bill Lattner
We have not yet built the package under Windows. Unfortunately, we do not have easy access to a Windows box. I'll do some digging through numpy and conda recipes to...
https://www.scipy.org/scipylib/building/windows.html http://scipy.github.io/old-wiki/pages/F2PY_Windows
https://github.com/saberpowers/causalLearning
Maybe just a case of backlash: 
Definitely... contributions welcome!
Nope, came across it a few weeks ago in this paper: Powers, S., Qian, J., Jung, K., Schuler, A., Shah, N. H., Hastie, T., & Tibshirani, R. (2017). Some methods...
Add more documentation and examples for how end-users can do this.
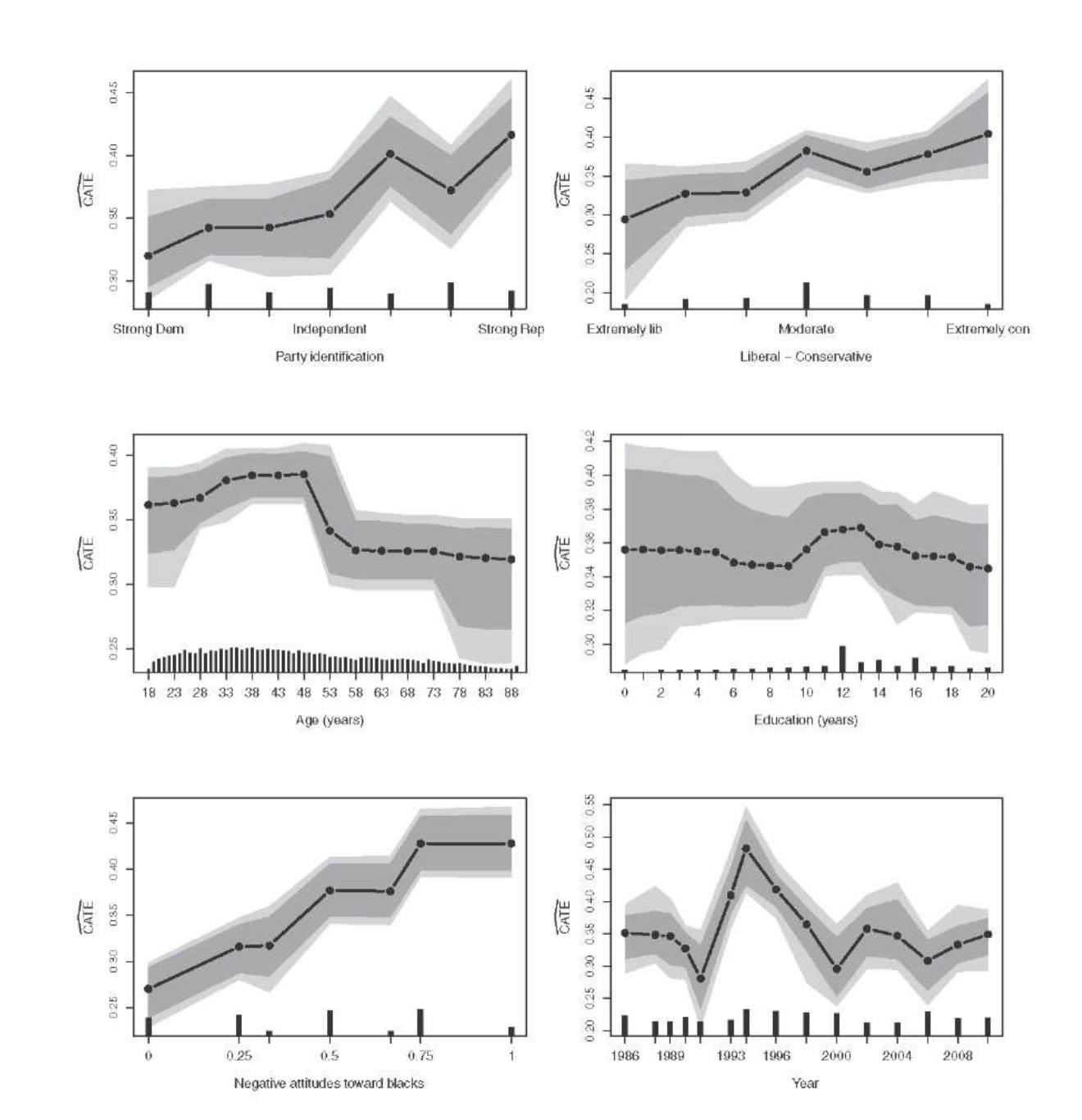
The data used in the Green and Kern paper looks more interesting:  This is using data from GSS on spending for welfare vs assistance to the poor.