leetcode
leetcode copied to clipboard
🐌🐌🐌 使用 JavaScript 记录算法题解,🚦 通过 Issues 标签进行分类,方便后续的复习
一个数对 (a,b) 的 数对和 等于 a + b 。最大数对和 是一个数对数组中最大的 数对和 。 比方说,如果我们有数对 (1,5) ,(2,3) 和 (4,4),最大数对和 为 max(1+5, 2+3, 4+4) = max(6, 5, 8) = 8 。 给你一个长度为 偶数 ...
如果一个字符串不含有任何重复字符,我们称这个字符串为 好 字符串。 给你一个字符串 s ,请你返回 s 中长度为 3 的 好子字符串 的数量。 注意,如果相同的好子字符串出现多次,每一次都应该被记入答案之中。 子字符串 是一个字符串中连续的字符序列。 示例 1: ``` 输入:s = "xyzzaz" 输出:1 解释:总共有 4 个长度为 3 的子字符串:"xyz","yzz","zza" 和 "zaz" 。...
字母的 字母值 取决于字母在字母表中的位置,从 0 开始 计数。即,'a' -> 0、'b' -> 1、'c' -> 2,以此类推。 对某个由小写字母组成的字符串 s 而言,其 数值 就等于将 s 中每个字母的 字母值 按顺序 连接 并 转换 成对应整数。 - 例如,s = "acb" ,依次连接每个字母的字母值可以得到...
给你一个非常大的整数 n 和一个整数数字 x ,大整数 n 用一个字符串表示。n 中每一位数字和数字 x 都处于闭区间 [1, 9] 中,且 n 可能表示一个 负数 。 你打算通过在 n 的十进制表示的任意位置插入 x 来 最大化 n 的 数值 。但 不能 在负号的左边插入 x...
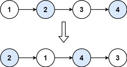
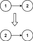
给定一个链表,两两交换其中相邻的节点,并返回交换后的链表。 你不能只是单纯的改变节点内部的值,而是需要实际的进行节点交换。 示例 1:  ``` 输入:head = [1,2,3,4] 输出:[2,1,4,3] ``` 示例 2: ``` 输入:head = [] 输出:[] ``` 示例 3: ``` 输入:head = [1] 输出:[1] ``` 提示: - 链表中节点的数目在范围...
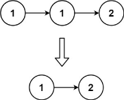
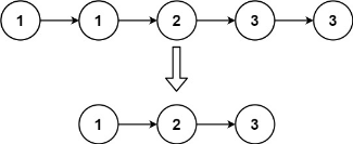
存在一个按升序排列的链表,给你这个链表的头节点 head ,请你删除所有重复的元素,使每个元素 只出现一次 。 返回同样按升序排列的结果链表。 示例 1:  ``` 输入:head = [1,1,2] 输出:[1,2] ``` 示例 2:  ``` 输入:head = [1,1,2,3,3] 输出:[1,2,3] ``` 提示: - 链表中节点数目在范围 [0, 300] 内...
给出一个字符串 s(仅含有小写英文字母和括号)。 请你按照从括号内到外的顺序,逐层反转每对匹配括号中的字符串,并返回最终的结果。 注意,您的结果中 不应 包含任何括号。 示例 1: ``` 输入:s = "(abcd)" 输出:"dcba" ``` 示例 2: ``` 输入:s = "(u(love)i)" 输出:"iloveu" ``` 示例 3: ``` 输入:s = "(ed(et(oc))el)" 输出:"leetcode" ```...
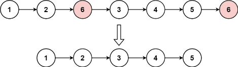
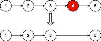
给你一个链表的头节点 head 和一个整数 val ,请你删除链表中所有满足 Node.val == val 的节点,并返回 新的头节点 。 示例 1:  ``` 输入:head = [1,2,6,3,4,5,6], val = 6 输出:[1,2,3,4,5] ``` 示例 2: ``` 输入:head = [], val...
给你一个链表,删除链表的倒数第 n 个结点,并且返回链表的头结点。 进阶:你能尝试使用一趟扫描实现吗? 示例 1:  ``` 输入:head = [1,2,3,4,5], n = 2 输出:[1,2,3,5] ``` 示例 2: ``` 输入:head = [1], n = 1 输出:[] ``` 示例 3: ```...
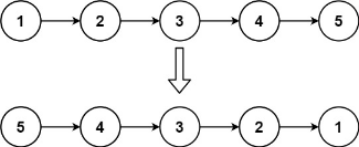
给你单链表的头节点 head ,请你反转链表,并返回反转后的链表。 示例 1:  ``` 输入:head = [1,2,3,4,5] 输出:[5,4,3,2,1] ``` 示例 2:  ``` 输入:head = [1,2] 输出:[2,1] ``` 示例 3: ``` 输入:head = [] 输出:[] ``` 提示:...