MonteCarlo
MonteCarlo copied to clipboard
IMCMR Example 8.1
same backgroud with #1

https://github.com/szcf-weiya/MonteCarlo/blob/5b82f2035d625eb7768211c856c7b9cfb4056851/MCOptim/rand-logit.R#L132-L133
- sample sigma comes from the following conditional dist.
https://github.com/szcf-weiya/MonteCarlo/blob/5b82f2035d625eb7768211c856c7b9cfb4056851/MCOptim/rand-logit.R#L101-L104 https://github.com/szcf-weiya/MonteCarlo/blob/5b82f2035d625eb7768211c856c7b9cfb4056851/MCOptim/rand-logit.R#L135-L136
- sample beta might be related to the fisher's information (but seems still different. QUESTION)
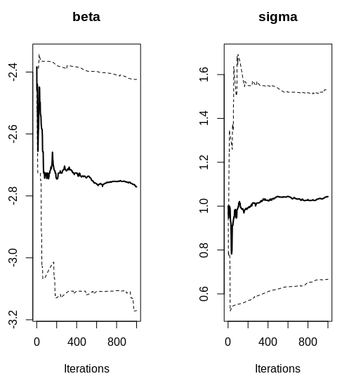
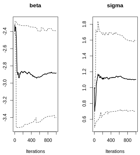
| plot | cumuplot |
|---|---|
![]() |
![]() |
![]() |
![]() |
the first try (row 1) returns a larger bias in beta, and the second try (row 2) gives a larger bias of sigma.



