CausalInference.jl
CausalInference.jl copied to clipboard
Clean or replace hand-drawn pictures
in https://mschauer.github.io/CausalInference.jl/latest/examples/backdoor_example/ (not against hand-drawn, actually, but they are a bit difficult to read)
Hi @mschauer ! I think this is something I might be able to do. Any suggestions on software tools that I could use to make the diagrams prettier?
However you like, I would use Inkscape with latex plugin or TikZ to do it by hand.
Sorry for taking such a long time. I wanted to get more confortable with TikZ.
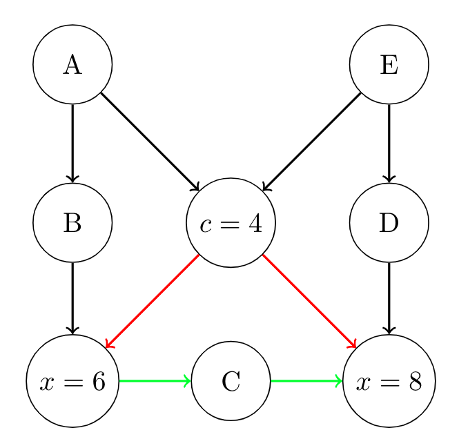
Here is an example of a replacement diagram, I would like to get some feedback on it.

A nice, thank you. We should perhaps replace the numbers by letters. Make it "A, B, ..., H" (capital letters) instead of "1, 2, 3, 4, 5, 6, 7, 8"?
Awesome. I'll clean up the one above and start working on the other diagrams
I made the adjustments and worked on the missing diagrams. Here's a look. Let me know if there is anything left to do to make them clearer or if I made any mistakes.

They are ordered exactly as they can be found on the documentation.
Thank you! Can you post the source? I'd like to make some small changes
Of course diagrams.zip !