futureco-data
futureco-data copied to clipboard
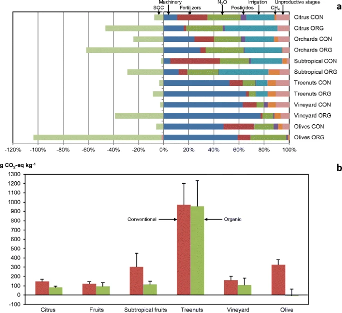
Une barquette d'olives
Il semblerait qu'une olive biologique puisse être complètement neutre en carbone en sortie de champs, mais je ne retrouve plus l'étude sur twitter qui comparait bio et pas bio. https://mobile.twitter.com/Privatecarfree/status/1168887614105145344 . calculer le paquet d'olives : olives, huiles, pot ou sachet, transformation pour être mangée (ADEME ?), espagne/italie, transport france x2
https://link.springer.com/article/10.1007/s13593-014-0265-y
https://twitter.com/maeool/status/1300357926742380544
