clusterProfiler
clusterProfiler copied to clipboard
gseGO Error in preparePathwaysAndStats(pathways, stats, minSize, maxSize, gseaParam, : Not all stats values are finite numbers
我运行gseGO函数,返回如下错误
Error in preparePathwaysAndStats(pathways, stats, minSize, maxSize, gseaParam, : Not all stats values are finite numbers
请提供可重复性代码。
请提供可重复性代码。
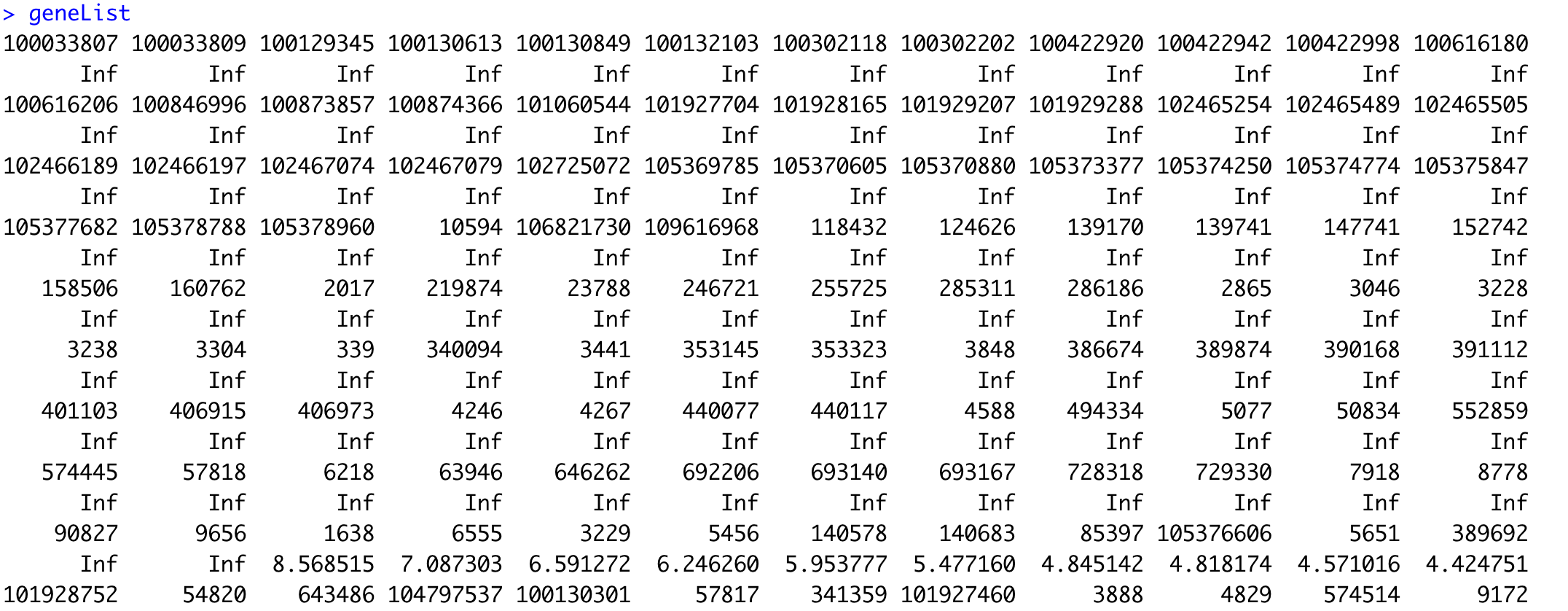
geneList

go.gsea.i <- gseGO(geneList = geneList, ont = "BP", OrgDb = org.Hs.eg.db, keyType = "ENTREZID", exponent = 1, #nPerm = 1000, 新版本参数取消了 minGSSize = 10, maxGSSize = 500, pvalueCutoff = 0.05, verbose = F)
GSEA算法需要全部的基因,你这不但只有部分基因,还一堆的缺失值。
我也是有同样的报错,我没有缺失值,但不明白为什么也报了这个错误
@jingydz 你的数据格式不对,geneList应该是一个vector,你输入的是一个data.frame.
我也是同样的报错,我检查了没有缺失值,而且是list
@Lily824-lab 如果你说的list指的是R里面的list的话,那你应该用的是vector,不是list。
GSEA_input 100349699 100340848 100340094 100351193 100352533 100341458 "9.9763760571222701E-2" "9.9743302405180603E-2" "9.9609895839049695E-2" "9.9569303791631397E-2" "9.9047095321364603E-2" "9.8981160807199597E-2" 100347816 100340338 100341971 100354109 100342319 100353736 "9.8767605326007493E-2" "9.85659665858548E-3" "9.8403657574290607E-2" "9.8100522507204704E-2" "9.7963333125393598E-2" "9.7860050105683105E-2" 100340870 100344035 100348341 100341869 100356871 100351830 "9.7848068114238504E-2" "9.7710085357149798E-2" "9.7521568774432493E-2" "9.7521365201277493E-2" "9.7330043290080202" "9.7179863300217398E-2" 100347498 100341571 100358118 100347514 100346770 100339079 "9.7156339101505895E-2" "9.7141208896596595E-2" "9.7127504469522896E-2" "9.7033708796610496E-2" "9.7026998430556302E-2" "9.6785643460607806E-2" 100353005 100343931 100349487 100301537 100350882 100344334 "9.6783293470016699E-2" "9.6439835841014496E-2" "9.6347766998387097E-2" "9.6268891048790495E-2" "9.6257992154937195" "9.6145662810445398E-2" 100337883 100353175 127482782 100354176 100009236 100341361 "9.5861165812256797" "9.5625256715513904E-2" "9.5465855691594201E-2" "9.5077585745111506E-2" "9.4824900203794305E-2" "9.4745246723651505E-2" 100355995 100338911 100349612 100338712 100344588 100351999 "9.4651645080226901E-2" "9.4411033943509193E-3" "9.4391393125120598E-2" "9.4127173964689101E-2" "9.4066867090277206" "9.4051853245684505E-2" 100351566 100358329 100343549 100355301 100340261 100008982 "9.3881188664766496E-2" "9.37905379377212E-2" "9.3682059528740994E-2" "9.3598897845991194E-2" "9.3312822615115795E-3" "9.3186484610990394" 100352360 100338611 100345543 100344221 100351370 100344241 "9.3130960514886299E-2" "9.2810477045703194E-2" "9.26919684108065E-2" "9.2282447185406596E-2" "9.2060672793874698E-2" "9.2024050023352094E-2" 100346830 100355092 100355889 100353596 100343841 100343310 "9.1984700855777493E-2" "9.1981876449176506E-3" "9.1414426345155494E-2" "9.1103169160993397E-2" "9.0628605043060903E-2" "9.0577654821281606E-2" 100352690 100008751 100352274 100341360 100354106 100356817 "9.0488071641510001E-2" "9.0374035962671698E-2" "9.0152700886259596E-2" "9.0067577540515593" "8.98626285458477E-2" "8.9752118772781095E-2" 100358990 100348790 100340957 100356762 103345534 100352657 "8.9596032594781807" "8.9496014573314506E-2" "8.9040255664642506E-2" "8.8913178873179302E-2" "8.8731069173022703E-2" "8.8599622637685105" 100343558 100350628 100357173 100353358 100341009 127485451 "8.8080022572157801E-2" "8.7873937662276205E-2" "8.7843640967614697E-2" "8.7758271299606501E-6" "8.7757451183833499" "8.7723792077141496E-2" 100348089 100341519 100338258 100344866 100353635 100337981 "8.7685284550536196" "8.7682529461889391" "8.7496538054677407E-3" "8.7074039499191097E-2" "8.6720905072769597E-2" "8.6699694636259004" 100344851 100008868 100350308 100342572 100347583 100346575 "8.6325825161321298E-2" "8.6084048434187803" "8.6026643534299896E-2" "8.6023791657014996" "8.6000118974752904E-2" "8.5790374170839803E-2" 100348436 100358623 100342055 100357413 100009225 100342512 "8.5779750986345105E-2" "8.4983473230306306" "8.4767440420135606E-2" "8.4682887702849999E-2" "8.4573799202927805E-2" "8.4553249581626397E-2" 100357089 100353062 100352668 100340782 100352295 100343098 "8.42122992716791E-2" "8.3335480762841696E-2" "8.3250401459467396E-2" "8.2896078540622108E-3" "8.2860622406907905E-2" "8.2494049113304398E-4" 100008787 100351946 100338893 100354004 103352372 100355036 "8.2229658834049406" "8.2128371119057506E-2" "8.1979181170306497" "8.1595879085893994" "8.11718397035565E-2" "8.1082984338021802E-2" 100346898 100349748 100353775 100339114 100357266 100341683 "8.1063797328995699E-2" "8.09450515116827E-2" "8.0837347711379307E-2" "8.0801921483924094E-3" "8.0581285136332799" "8.04328777154035E-2" 100355399 100354622 100343738 100348464 100341678 100357997 "8.0399974345867609" "8.0317322371416797E-2" "8.0127900969833896E-2" "8.0101141444388096E-2" "7.9817259867305101E-3" "7.9606485119544903" 100354649 100346107 100342350 100342221 100342914 100344425 "7.9506918502014606E-2" "7.9400892566148795E-3" "7.9200036390140893E-2" "7.9185933674290796" "7.9161930786709203E-2" "7.8944993457812096" 100358443 100353805 100357640 127482714 100357706 108176002 "7.8826548750177694E-2" "7.8714915477606395E-2" "7.8677501880676806E-2" "7.8628365698911402" "7.8418729284307001E-2" "7.8339878383891698E-2" 100346521 100328697 100351452 100356067 100341520 100340859 "7.8215067742810701E-2" "7.8174981836474505E-2" "7.8080168822177304E-3" "7.7962857757940304E-2" "7.7651631346621697" "7.7603750325446294E-2" 100009484 100347318 100351475 100342322 100347070 100351078 "7.7506079639118397" "7.7466104098923001" "7.7380088028836003E-2" "7.7094013290931001" "7.67100375905619E-2" "7.6483436708543202" 100354660 100349536 100337978 100355702 100351543 100355074 "7.63737515575062" "7.6356648263607801E-2" "7.6073525243579701E-2" "7.5892283386926698" "7.56098234470534E-4" "7.5595661728146898E-2" 100353714 100354890 100355684 100342693 100352095 100352052 "7.5390534210175204" "7.5233511448355606E-2" "7.5173487239536499E-2" "7.5026846200258804E-2" "7.4976368976619606E-2" "7.4969972726527496" 100344809 103347442 100353124 100342650 100345434 100342325 "7.4921547263069401" "7.4631110324195503E-3" "7.4629738877080104E-2" "7.4408482589918307E-2" "7.4329438300091697" "7.4202270079293999" 100339300 100355386 100354391 100352493 100339154 100339583 "7.4192985797556704E-2" "7.4071559598608498" "7.4046876326132494E-2" "7.4042534360267198E-2" "7.3995203932458897E-2" "7.3522097485419394E-2" 100359311 100341878 100355195 100340755 100343958 100345046 "7.3459313467772194E-2" "7.3386506668740498E-2" "7.3165456383583703E-3" "7.3090934026893599" "7.3001050217765595E-2" "7.2954168568546596" 100339413 100348930 108176193 103345376 100338768 100354158 "7.2866474042362404" "7.2850397490538997E-3" "7.2432146100465999E-2" "7.2192568785696201E-2" "7.2110067497898903E-2" "7.1999012460909201E-2" 100008763 100343856 100348395 100347091 100343258 100358351 "7.16383045957713" "7.1598403892230503E-2" "7.1336659998200797E-2" "7.1013383094800001E-2" "7.0889043470421007E-2" "7.0610534824660107E-2" 127487657 100347306 100348414 108175755 100343657 100358608 "7.0529672786671702E-2" "7.0226140434436798E-2" "7.0060611754445796" "6.9963505525475395E-2" "6.9946269943563705E-2" "6.9570641118634896E-2" 100355525 100342160 100338915 100343200 100359136 100346560 "6.9568061392284104" "6.9509921193925601" "6.9508052173685897" "6.9241300939763804" "6.8991799865247797E-2" "6.8942127658008898" 100344754 100009389 100345362 100009482 100357689 100342125 "6.8659686008560898" "6.8630868190000696" "6.8454905551749698E-2" "6.8396703369757104" "6.8302971803616802E-2" "6.81835952960885E-4" 100340184 100351223 100125992 100341990 100303773 100346792 "6.8059623350624904E-2" "6.8038427110670305E-2" "6.7987480938426104E-2" "6.7862862655400494E-2" "6.7582058473710598" "6.7494209891606705E-2" 100356925 100348149 100345805 100354442 100338306 100338563 "6.7386547504826894E-2" "6.7262459510410402" "6.7087625937105502E-2" "6.7046909583831901E-2" "6.7039178041172098E-2" "6.6894232366794402" 100347474 100357800 100357404 127487729 100356338 100351895 "6.6883563458300502E-2" "6.6754197333678604" "6.6512743939095995E-2" "6.6377799856291705E-2" "6.6317616659800498" "6.6274825874476804" 100345334 100328637 100347218 100008657 100358787 100358180 "6.6113529607503096" "6.5958639376685002E-2" "6.5947628746036697" "6.5769183789154195E-2" "6.5632239274759998" "6.5616052900623396" 100346585 100355795 100352843 100355690 100350560 100344366 "6.5522380239766402" "6.5513208213860796" "6.5509171858880899" "6.53843175341111E-2" "6.5369975286396598E-2" "6.5359657603459302" 100342232 100347190 103346440 100345891 100009139 100351105 "6.5341519758625899E-2" "6.52362052041727E-3" "6.49444174959695" "6.4893367715592398E-2" "6.4887998870706696" "6.4785841706174394E-2" 100355388 100344407 100358323 100345677 100337700 100340354 "6.4703349657578402" "6.4653745111763703" "6.4646478597920998E-2" "6.4120644246082104E-2" "6.4078981170817895E-2" "6.3830573891285098" 100345630 100352594 100337962 100338459 100341444 100009479 "6.3765136020822594E-2" "6.3146470953659106E-2" "6.3128152981866998" "6.3043708379407901" "6.2982296096705603" "6.2803755717403398" 100347271 100341928 100354629 100338284 100349759 100339128 "6.2692953297530801E-2" "6.25947631090744E-2" "6.2457230934929497E-2" "6.2097717452805297E-2" "6.1992223204843802E-3" "6.1900550710057702" 100348508 808226 100355414 100357367 100339600 100356579 "6.18713896289744" "6.1832670277428697E-2" "6.1794341094186702" "6.17885590662081" "6.17665566177888E-2" "6.1693312668360603E-2" 100352543 100341603 100351340 100345196 100348394 127491672 "6.15682769729375E-2" "6.1466745758912404" "6.1444917435945898" "6.1440381105820001E-2" "6.1275482287100198" "6.1237725019453002E-2" 100352148 100345928 100345484 100354342 100340894 103348937 "6.1147157038127604" "6.0839927942647302E-2" "6.0826108800185397" "6.06062329132501" "6.03386627722446" "6.0316609538457602" 100350504 100356914 100355123 100349534 100343044 100349006 "6.0119583597291797" "6.0036646291501898E-2" "5.9592137581750597" "5.9524886740473697" "5.9478524313916403E-3" "5.9305879500594703" 100354757 100358846 100352580 100008735 100348823 127487215 "5.9278403368316503E-2" "5.9269474364353498E-3" "5.9246652054555503E-2" "5.9086117577369297" "5.9066203488685499E-3" "5.8951868504864703E-2" 103349793 100344644 100346210 100344303 100009267 100337702 "5.88901616393865" "5.8857253279030797E-2" "5.8759038669172698E-3" "5.8668284984120099E-2" "5.8400700954834601" "5.8250026621734197" 100345909 100351899 100356268 100340283 100351405 100009202 "5.8149290406597297E-2" "5.7948453701063399E-2" "5.7701614996625796" "5.7690828084645901E-2" "5.7552315457188996" "5.7526381649618896" 100009533 100355201 100344983 100343166 100338906 100358335 "5.7522531134022198E-2" "5.75026850177979E-2" "5.7298122706979197E-2" "5.7078458204302596" "5.6953978458184498" "5.6950965823809598" 100009532 100343331 100342470 100354392 100347907 100350464 "5.6777870835920702E-2" "5.6659951796898902" "5.6652933040102597E-2" "5.6556240030336699E-2" "5.6465356270057896" "5.6326245231077002E-2" 100351716 100347030 100342502 100337932 100009424 100009005 "5.6300620714544403" "5.6272039495651196" "5.6227541183364101E-2" "5.6186821942156304E-3" "5.6150789187319701" "5.6137765938748103" 100355404 100352881 100347763 100358980 100354072 103346926 "5.6085148520593799E-3" "5.6056165174879297E-2" "5.5846321069474403E-2" "5.5757254477835402E-2" "5.5722863999412599E-2" "5.5697558570397501E-2" 100347075 100353965 100347173 100358517 103346093 100343825 "5.5691859263525201" "5.5568726403495097" "5.5510432606420101" "5.5481745425022502E-2" "5.5423864263477403E-2" "5.5358052325414704" 100357390 100354941 100009274 100009242 100342925 100339049 "5.5321435478947896" "5.52574256744888" "5.5041039850047797" "5.4966568465985299E-2" "5.48721201213244E-3" "5.4815302282711196" 100338479 100356877 100353450 100357436 100345167 100350129 "5.4724941203987999E-2" "5.4655929043157503" "5.43063035977467E-2" "5.4119824567913604" "5.4034009149309696" "5.3950604575315003E-2" 100346623 100008629 100008972 100346260 100353792 100008993 "5.36752377214475E-2" "5.3649200600533096" "5.3445134606248397" "5.3436555005239104" "5.3373737367321104" "5.3364207308013203" 100342968 100342237 100349859 100338333 100359272 100338059 "5.3250367523899698" "5.3233970940794496E-3" "5.3134153126703501" "5.3108995512932298" "5.3040511516715503" "5.3033540497711096" 100352954 100349776 100341219 100339671 100347418 100342130 "5.2965002165590898" "5.2790583843230099" "5.2675656043938801" "5.2548807439703404" "5.2548132762519204" "5.2510580670072297E-2" 100008692 100347076 100353871 100342954 100340631 100355236 "5.23766952572102" "5.2245126412753903E-2" "5.2165582353290203" "5.2156927451411997E-2" "5.1965829717981402E-2" "5.1960906543192499E-2" 100351477 100328898 100357950 100341436 100009314 100352270 "5.1856762961605503" "5.1812942225702399" "5.1704178986030298" "5.1546461169325202" "5.1542251228719396" "5.1527098550631303" 100351897 100348670 100338081 100341501 100357928 100357064 "5.1507910571214399E-2" "5.1481086853132602E-2" "5.1462489132576901E-2" "5.1432024681664201E-3" "5.13516273614954E-2" "5.1299773542560798" 100356520 100338434 100351024 100351874 100008723 100348416 "5.1298372569645103" "5.1172294673927299" "5.1156834927066299" "5.1074109118674799E-2" "5.0995220020320899E-2" "5.0990483024359401" 100344574 100345001 100341507 100346653 100355946 100357522 "5.0948639692460003E-2" "5.0683896888756602E-2" "5.0654318045690303" "5.0585836791553103" "5.0207204269868404" "5.0109548346913099E-2" 100349145 100340370 100344246 100354789 100338416 100352176 "5.0064339441758197" "5.00615107435579" "4.9968971057685199" "4.9860525698264304" "4.9851584362168098E-2" "4.9793621266299999" 100351760 100355653 100342289 100345638 100347925 100358309 "4.9756424227975398" "4.9726074539122198" "4.96606350369479" "4.9656140811892104" "4.9619534714077398" "4.9579999791731302" 100343306 100343113 100343415 100357567 100346046 100340928 "4.9551484480823901E-2" "4.95332959816304E-2" "4.94963341678143E-2" "4.92749955366402E-2" "4.9243669881244001" "4.9181213174350802" 100339302 100340849 100349136 100341480 100340590 100340610 "4.912620610546" "4.9119324193969502" "4.9097310008688999E-2" "4.9079641984521E-2" "4.8942397460836402E-2" "4.8939708491755702" 100353205 100352317 100350116 100354454 100341717 100344766 "4.8939296655462101" "4.87387354009212" "4.8682437912453098" "4.8623449079619503" "4.8527531654966503E-2" "4.8458363411794201" 100345319 100354683 100009564 100350994 100343877 100009214 "4.84385100108089E-2" "4.8433440603056503" "4.8409922474089502" "4.8362580397925001E-2" "4.8272662665617698" "4.8266018030715498" 100344472 103352487 100009034 100341984 100344522 100356869 "4.82212507099955E-2" "4.8218646038831396" "4.8129378605095798" "4.7929509610379402" "4.7539044034909703E-2" "4.7512274388985601E-2" 100344726 100353323 100345164 100351583 100358971 100359107 "4.7450472574628302" "4.7320210663201596" "4.7195529671442298" "4.7101894702453704" "4.7014790395986301" "4.7012885865732104" 100352706 100350599 100339089 100009271 100009237 100339746 "4.6968327409905104" "4.6926574386312998" "4.6910989974699904" "4.6516769350168596" "4.6481212218751304" "4.6294490458699003E-2" 100338340 100345602 100328903 100355494 100353165 103345790 "4.6264035821392102E-2" "4.6219024664937001" "4.6204402984031399" "4.6197043629819596" "4.6100195176602599" "4.58871516638039" 100338318 100358312 100009515 100358375 100008685 100340815 "4.5856772239978998" "4.57801252260679" "4.5637129361486801" "4.5635614788859698E-2" "4.5608864017059796" "4.5598430835791399" 100358509 100354466 100341108 100357328 100350950 100354296 "4.5354218890107498" "4.5290174419451903" "4.5287663861480802E-2" "4.5273061990599803" "4.5263446288190101" "4.5148453967583303E-2" 103349175 100340217 103349030 100340831 100009070 100342647 "4.5067786550218897E-2" "4.5023127676537796E-3" "4.4861580470323297" "4.4797486592752698" "4.4776257372841002" "4.4743000323163198" 100355457 100356276 100349576 100355353 100348573 100341685 "4.4739834553142197" "4.4688106626700398E-2" "4.4642696053473999E-2" "4.4642159879683101" "4.4600175333934997E-2" "4.4540112956545599" 100339550 100009563 100352213 100357121 100350237 100358460 "4.4245348237826398" "4.4181529323876099" "4.4158192883956104" "4.4112104825525797" "4.4072578200834602" "4.4052984587450004" 100341966 100349758 100338045 100354485 100351489 100356567 "4.39488771161278" "4.3853589466063401" "4.3758624083745201E-2" "4.36752656426874" "4.3640671993881597E-3" "4.3400759332368697" 100358225 100339368 100348657 100008785 100344438 100339543 "4.3397460222258504" "4.3390765217520997" "4.3263114522116304" "4.3259495016330698" "4.3173991430271697" "4.3044096011285199E-2" 100358743 100355500 100348465 100008805 100349910 100342940 "4.2920622398582797E-2" "4.2699945722201198" "4.2632423858410098" "4.2454256176009801" "4.2439845783091101" "4.2430776527492" 100357080 100346249 100344929 100351694 100357945 100343810 "4.2374330423311903" "4.2281666876464098E-2" "4.2253870297984903" "4.2120129784405904" "4.2033773527116702" "4.1958406725560398" 100345391 100351041 100358445 100344717 100342513 100358299 "4.1927213784129197E-2" "4.1924117919835799" "4.1890861387323399" "4.1828208434216201" "4.1822230278044099" "4.1809574959828698E-2" 100354680 100338427 100339608 127482652 100346749 100350028 "4.1787794444955404" "4.17679771853307" "4.1724522196472096" "4.1724325415605401" "4.1622356932309996" "4.1567756184294602" 103350061 100345843 100342122 100343682 100338212 127484750 "4.14756754398931" "4.1402067730642997" "4.1383575427776904" "4.1275910339024202" "4.1242081214450603E-2" "4.1238361449209698E-2" 100346131 103345733 100349113 100358252 100303762 100348238 "4.1139196915514704" "4.0973517921790403" "4.0957946408133203" "4.0866463835748101" "4.0788067155641796" "4.0780828787094396" 100352048 100342482 100344923 100348450 100339311 100358570 "4.0715704401191502E-2" "4.0620478853848496" "4.0527800732878196" "4.0507529270091498E-2" "4.0455592283429898" "4.03256968973165E-2" 100344817 100344581 100344237 103351453 100359109 100340901 "4.0314403416764204" "4.0303439771936196" "4.0256290309608297E-2" "4.0254465661363401" "4.02538732737084" "4.0231651322227604" 100351924 100337934 100346480 100342107 100354465 100346695 "4.01672550253664" "4.0147164903286498E-3" "4.0071657776522702" "4.0067641444830002" "4.0058570099189998E-2" "3.99501903462374" 100353953 100342070 100340536 100343175 100009079 100351337 "3.9846959992419197E-2" "3.96625342232314" "3.96621794615338" "3.9591837776157601E-2" "3.9495020134239001" "3.9486172156137998E-2" 100350002 100008899 100345186 100340843 100340146 100337940 "3.9469000834104498E-2" "3.94519641067768" "3.9384702971978901E-2" "3.9251713390358801E-2" "3.9244482633561999" "3.9191068200220398" 100347096 100008931 100351256 100344733 100342028 100343886 "3.9131774343184098" "3.9076510745839697E-2" "3.8960523674233097E-2" "3.89272512595576" "3.8847018860806798E-2" "3.8844914128153898E-2" 100357604 100340825 100349594 100352761 100340097 100355992 "3.88225700585817" "3.88098397203261" "3.8699427483698E-2" "3.8628920400931501" "3.8596819962668401E-3" "3.8595365653891101" 100338993 100355866 100355805 100351567 100352864 103351568 "3.8583416220996001" "3.8581967982741801" "3.8580497468030099" "3.8575473525767102E-2" "3.8561048004554901" "3.8516435267382097E-2" 100357530 100351943 100348083 100356782 100355046 100345120 "3.8459421719462199E-2" "3.8452569111581001" "3.84088633209242" "3.8339686130030901" "3.8330896139988697E-2" "3.8208179061113401" 100340035 100355339 103350728 100350169 100352919 100351192 "3.8190066790433401" "3.8140502331370001E-2" "3.8138865183518602" "3.8104326077595001" "3.8021772343350202" "3.7996063600813097E-2" 100356108 100347809 100101583 100345744 100342683 100345340 "3.7942774442154601" "3.7927459564316202E-2" "3.7807223355438602" "3.7757905100335797E-2" "3.7633506876323399" "3.75537426338117" 100347138 100344571 100356522 100338603 100346308 100354815 "3.7552647079589598" "3.7536417429919799" "3.7471691501568101E-2" "3.7456375848842503E-2" "3.7419009145532001" "3.7390380865443702" 100344591 100351188 100357278 100350148 100351345 100344940 "3.7381470650055002" "3.72923957155102" "3.7290985606487399" "3.7266640658260499" "3.72362252019827" "3.7123387445061197E-2" 127482690 100341409 100353280 100342617 100343864 100339423 "3.70938586362433" "3.7017283769623401" "3.6947951964082999" "3.6729276145226901" "3.6696362104138597E-2" "3.6648818692557001" 100351227 100340821 100347154 100349413 100009541 100342887 "3.66338080168082" "3.6569071484748701" "3.6548875219450001" "3.6512468227840702" "3.6360789201857502" "3.6282722303771502" 103345635 100356525 100358175 100358128 103350963 100348806 "3.62751862231329" "3.6227718140458602E-2" "3.6158909670427399" "3.6053068539738602E-2" "3.60015657553972" "3.5936036924486201" 100345580 100358514 100338362 100008790 100353022 100352722 "3.5876191850889902E-2" "3.58226939877231" "3.5776624685502698" "3.57356569387524E-2" "3.5728807340822" "3.5676185824297799" 100341808 100354350 108175775 100008684 100008695 100356317 "3.5657814296484097E-2" "3.5629122946907699" "3.5609378488366299" "3.5606005318039302" "3.5451750355473099" "3.54456123897396" 100346034 100340670 100347634 100342830 100339827 100350282 "3.5370205026762802" "3.53553204427278" "3.5291271864838198" "3.52518684512544" "3.5197581397746099E-2" "3.5150275137320601E-2" 100341203 100356736 100339959 100348637 100351535 100344512 "3.50258243455648" "3.5022551402937698" "3.4946196124834401" "3.4925925022714699" "3.4901448788220502" "3.4889061865720299" 100353420 100343319 100009538 100345420 103351698 100356341 "3.4806885214064803E-2" "3.4758823163290403E-2" "3.4735022910910298" "3.4708076357284599" "3.46954649189674" "3.46825806401919" 100340103 100352256 100351468 100340914 103347893 100351857 "3.4673376931267299" "3.4572190004702297E-2" "3.4519063015696301E-2" "3.451398906309E-2" "3.45107895002554E-2" "3.45052614765559" 100339417 100352797 100009200 100357021 100355925 100345483 "3.4426927747767402" "3.4331008319398801" "3.4281849473825199" "3.42656643203769E-2" "3.4228699054363498" "3.4170114596102801" 100345324 100343672 100348072 100347140 100352351 100354843 "3.4163092804980102E-2" "3.4139436502270599" "3.4123116022328398E-2" "3.4077103928149402E-2" "3.40409538570752" "3.3945905459330801" 100342815 100342042 100344327 100356824 100350274 100350725 "3.3931170102697199" "3.39192277804375" "3.3901997598024902" "3.3881956745283199" "3.3880438254938698" "3.3851845515301102" 100341917 100349881 100352853 100144344 100343879 100328615 "3.3850685163569199" "3.38178861825507" "3.3817852696186601" "3.3813031392599" "3.3667127230017599" "3.3653905871505598" 100009273 100353114 100356442 100338231 100349520 100345752 "3.3645000746864602" "3.3624434928282798" "3.3596729652808799" "3.3518347086762601E-2" "3.3486824277181202" "3.3455355538277798E-3" 100344288 100344051 100345621 100340475 100347516 100348476 "3.3444607658724901" "3.3424517501387001" "3.3401093835273898" "3.3384132218654199" "3.3301535500161301E-2" "3.32761626754451" 100101621 100354644 100346590 100355239 100354708 100350905 "3.3273321273660699" "3.3214856222190901" "3.3179983467160001" "3.30790005307585" "3.2983385441821298" "3.2980740175599701" 100356972 100354215 100352126 100327259 100343460 100355647 "3.2932171203109402" "3.2884511444492701" "3.2846170483675302E-2" "3.2842407627535399" "3.2840523796733998" "3.2815187983824199" 100349083 100353945 100345107 100342587 100342268 100352028 "3.2692268598792" "3.2651553029571998" "3.2541585713051602E-2" "3.25329648724259" "3.24827069034841E-2" "3.2399487717386801" 100337937 100347757 100339216 100349004 100350991 100346489 "3.2358750900089703E-2" "3.23491481359319" "3.2316867482799299" "3.2272675169812799" "3.22528680798343" "3.2221031535432698" 100349855 100009446 100350523 100344909 100349476 100345929 "3.2207913686347497E-2" "3.2179371817040501" "3.2071892472402501" "3.20461415811286" "3.1956894065803598E-2" "3.1954192768640297E-2" 103349346 100009535 127491350 100357580 100355497 100350567 "3.1953005480481602" "3.1815883268751698E-2" "3.18139156401742" "3.1796931069362802" "3.1755830148342302E-2" "3.1751947387628698" 100346121 100354326 100353567 100351848 100008694 100328591 "3.17391625518083" "3.1737816066357198" "3.1736989324401901E-2" "3.17068265217247" "3.16642172871726" "3.16584351473456E-2" 103345286 100357052 100339526 103348824 100328713 100338398 "3.1539223098669402" "3.1527378096669998" "3.1522531029980501" "3.1511880580922602" "3.1500704271104301" "3.14529133438998" 100339234 100351419 100008655 100349172 100341798 100358949 "3.1363677869596298" "3.13529374040711E-2" "3.1296443013906399" "3.1277948149221699" "3.1119458924655299" "3.1119131546930401" 100353979 100349149 100359297 100345875 108176484 100347386 "3.1065348057401299E-2" "3.1030012038299799" "3.1024664657995298" "3.0960226509944701E-2" "3.09324990807638" "3.08191089075763" 100351286 100343276 100355079 100351022 100341780 100349095 "3.07604950489474" "3.0741517243364598" "3.0725935725058999" "3.0679347661083298" "3.0608662746333399" "3.05435512416779" 100356395 127491584 100350430 100341738 100328711 100355898 "3.04619657422433" "3.0444809068337402" "3.0441575681628898" "3.04219468491842E-2" "3.03294774014576E-2" "3.0267443603888702" 100328633 100342848 100352703 100353348 100009152 100344224 "3.0167429520057101" "3.0114359746527501" "3.0015637795275398" "2.9940785395428899" "2.9897606220822901" "2.9735426764672002" 100344197 100339364 100353918 100009161 100341272 100338686 "2.97185244765268E-2" "2.9678450552110401E-2" "2.9674859232663202" "2.96738869591054" "2.9602324909810198" "2.9587954635601301" 100338448 100351742 100008610 100345188 100359075 100359252 "2.95296809743349E-2" "2.94723981790102" "2.93513085724015" "2.93377178850086E-2" "2.9281285470607599" "2.92764546426646" 100340506 100351275 100340056 100341696 100353576 100350805 "2.9272252147386699" "2.9268764519325998" "2.9211067377816402" "2.92054921026521" "2.9203327392964602" "2.91937674527066" 100355153 100358561 100009019 100358288 100346567 100345553 "2.9128666614892902" "2.9083483938321698E-2" "2.90734623954034" "2.90702102439984E-2" "2.9018798614903099" "2.89637044312411" 100340315 100356491 100357240 100359114 100353753 100338708 "2.8946361427222098" "2.88363335945209" "2.8794497910078198" "2.8747049042266499" "2.87344557209429" "2.8701286854485799" 100008871 100350648 100346514 100340135 100357472 100338277 "2.86793215350693" "2.8616005617989399E-2" "2.8609414311687901E-2" "2.86068848768647" "2.8593210553970798" "2.8589064685707601" 100348129 100352485 100340329 100341373 100009464 100353162 "2.8587970575813901E-2" "2.8570318345543302" "2.8528668749892598" "2.8505537338693001" "2.8482276847543102" "2.8397260901884902" 100351418 100357419 100355112 100340481 100348417 100347746 "2.8378184811994198" "2.8375392345152899" "2.8333735887430098" "2.8295806412896298" "2.8253734333349798" "2.82292699476724" 100354295 100358817 100353734 100351317 100358457 100340081 "2.8207783348909499" "2.8192585195287898" "2.81758893828271" "2.8093807290810502" "2.8026443801996699" "2.7967295137776902" 103349900 100009444 103346823 100348512 100353962 100351058 "2.79652631622313" "2.7958538035096998" "2.7934982885115098" "2.7930377766554702" "2.7902438859035299E-2" "2.7898992047109701" 100358939 100340335 100346692 100348956 100342965 100342155 "2.7858661591353702" "2.7857633686588001" "2.7847447304375899" "2.7826665335691998" "2.7795124481486702" "2.7751106204085899E-2" 100337820 100340104 100353510 100340498 100345966 100008765 "2.7713613917254201E-2" "2.7619421045770798" "2.7597840818677701" "2.75910373990392" "2.7544793189049801" "2.7429922439843799E-2" 100008826 100008907 100353554 100357399 100343819 100349327 "2.7378519382048299" "2.7362054223127199" "2.73601626602663E-2" "2.7352641994684999" "2.7345382141980399" "2.7341475100043202" 100352254 100353713 100349597 100350576 100009445 100339989 "2.72837435786903" "2.72742698979238" "2.7192740268303002" "2.7152852442166999" "2.7126118961417101" "2.7109606485071098" 100338442 100345776 100357561 100344161 100340837 100347540 "2.7074159152726001" "2.70233362047877" "2.7019411609623501E-2" "2.6993164494641899" "2.69837693387906" "2.6972241609960701" 100342835 100356011 100343912 100351490 100009032 100348311 "2.69375408346668" "2.6935480254623498" "2.6886594771321199" "2.6883554052112499" "2.6878066570684801E-2" "2.6853915692449801" 100357806 100354580 100357684 100344342 100338087 100344428 "2.67812471736976" "2.6757044462019999" "2.6726675215026199" "2.6715767106845099" "2.6684804829593798" "2.66561999517877" 100125988 100346879 100349344 100338942 100339660 100346482 "2.6639782767589701" "2.66388482964663" "2.6621607389141402" "2.6618809325571702" "2.6497004462414302" "2.6441426320229701E-2" 100340503 100009543 100339757 100347959 100355078 108177343 "2.63650822676167" "2.6358484349433402" "2.6308979735796099" "2.62770027684211" "2.62735018063796" "2.6251118903870099" 100352410 100009085 100355094 100338404 100339838 100351005 "2.6216173493957902" "2.62066812694392" "2.6192713273027599" "2.6137652223719798" "2.6016199927435801" "2.6000533383855098" 103347124 100351667 100344400 100354460 100343378 100343602 "2.5972124551996898" "2.5937263668211799" "2.5917039611210702" "2.5897755068521402" "2.5881085556199701" "2.5857535596028001" 100342284 100347392 100354173 100341953 100343033 100356398 "2.5832002997280701" "2.5777728300235601" "2.5738496189578099" "2.57134475330838E-2" "2.57032659594018" "2.5695222997202101" 100350761 100355863 100340564 100350909 100346640 100339506 "2.5673180434045899" "2.56550985421126" "2.5616906650483799" "2.56091334133869" "2.55417986076597" "2.5506447490451301" 100353619 100009356 100009531 100350077 100356459 100009504 "2.54842421323172E-2" "2.5473732987223802E-2" "2.54632796325137" "2.5460684218626701" "2.5456784783529699E-2" "2.5440423732454698" 100349545 100348665 100351938 100351365 100350124 100342066 "2.5427689931394801" "2.5414273035518198" "2.54094026271805" "2.5300488106519898" "2.52928940118422" "2.5290667816256001" 100347364 100339819 100354093 100009598 100344870 100353541 "2.52799884440793" "2.5278526107577801" "2.5273915489436498" "2.5248812888487699" "2.5199532064293999" "2.5173654044259499" 100355802 100343312 100350036 100355945 100357420 100355240 "2.5143265394154199" "2.5131106139797801" "2.5071943644386998" "2.50545220411471" "2.4993837742237699" "2.4960470677692199" 100343121 100356802 100343512 100338586 100352080 100345782 "2.49433741736984E-2" "2.4855121306893402" "2.48065739884309" "2.47951611274673" "2.47556719832345" "2.4754711026146698" 100356986 100344496 100342576 100339469 100348811 100340248 "2.4676118822260101E-2" "2.4605597802582602" "2.4557253974289699" "2.4556904100531201" "2.45512598382183" "2.4543541089721002" 100338155 100356354 100341181 100356084 100353717 103347096 "2.4508066147405798" "2.4423360324577598E-3" "2.44007159493068E-2" "2.4392710061506602" "2.4381989651320901" "2.4325499176368002" 100347483 100008706 100340466 100347239 100340477 100344398 "2.4299758330874899" "2.4293696518988002" "2.4235375012670701" "2.4213017979452802" "2.4154662176805801" "2.4138705779024699E-2" 100339998 100008840 100339618 100346359 100347594 100343986 "2.4093647804571101" "2.4068688307177899E-2" "2.4062534650279801" "2.4060581620008401" "2.4051621644927099" "2.4042712538371501E-2" 100348055 100347231 100342870 100328784 100347489 100349503 "2.4016012967608198" "2.39815302289926" "2.39475361596334" "2.3928035592116301" "2.3924288103164101E-2" "2.3915917578299601" 100346549 100134864 103347563 103350067 100338339 100354822 "2.38812401171249" "2.38798518434771" "2.3876292838389999" "2.3794578459048301" "2.37083264397423" "2.3589897195654499E-3" 100350099 100353321 100339739 100338690 100342578 100341731 "2.3544773080511399" "2.3459057233343E-2" "2.34493516800935" "2.3440733012398001" "2.3434203005483099" "2.3398001055599802" 100009253 100351095 100348291 100008799 100351411 100359117 "2.3368392443848398" "2.3356297544413298" "2.3334761342213102" "2.3321921740643701" "2.3304382887651802" "2.3257161941934199" 103352390 100353820 100344718 100347791 100009203 100009030 "2.32142761815384" "2.3212222335789998" "2.3186863891676301" "2.3184299108675499" "2.31722636200417" "2.3169279832951699" 100341627 100351930 100345352 100339748 "2.3155258879580001" "2.3146161713613802" "2.3095873904308699" "2.3086068505426001"
GSEA_KEGG <- gseKEGG(GSEA_input, organism ='ocu', pvalueCutoff = 0.05)
相同的问题 Error in preparePathwaysAndStats(pathways, stats, minSize, maxSize, gseaParam, : Not all stats values are finite numbers