Signal (WaveDrom) change font size in State machine viewer
I discovered TerosHDL a few days ago and it is really a great tool, nice work! But I think there is a conflict in the css rules between signal (WaveDrom) and State machine viewer
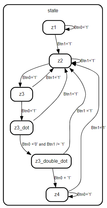
Describe the bug When you add a signal (WaveDrom) the font size in the State machine viewer increase
To Reproduce
Add this --! { signal: [{ name: "Alfa", wave: "01.zx=ud.23.456789" }] } to the line 25 of state_machine_1.vhd
https://github.com/TerosTechnology/teroshdl-examples/blob/main/state_machine/state_machine_1.vhd#L25
=> look at the font size in the state machine
Please complete the following information:
- OS: Windows 10
- VSCode v1.77.3
- TerosHDL v2.0.13
Screenshots
state_machine_1 without signal => OK

state_machine_1 with signal => NOK

Hi, update with v5.0.9 :
File https://github.com/TerosTechnology/teroshdl-examples/blob/main/state_machine/fsm_6.vhd Add on line 1 : --! { signal: [{ name: "Alfa", wave: "01.zx=ud.23.456789" }] }
With signal :
- Diagram font size reduce
- State machines font size increase
Same with 5.0.10 (pre-release)
Hi, same problem with 5.0.12
Hi, with 6.0.1(pre-release) it's worse : an fsm crashes the whole documentation
Without fsm : ok
With fsm : no documentation and error "Cannot find module 'fast-json-stable-stringify'" `Cannot find module 'fast-json-stable-stringify' Require stack:
- c:\Users\xxxxxx.vscode\extensions\teros-technology.teroshdl-6.0.1\node_modules\ajv\lib\compile\index.js
- c:\Users\xxxxxx.vscode\extensions\teros-technology.teroshdl-6.0.1\node_modules\ajv\lib\ajv.js
- c:\Users\xxxxxx.vscode\extensions\teros-technology.teroshdl-6.0.1\node_modules\teroshdl2\node_modules\state-machine-cat\dist\commonjs\bundle.js
- c:\Users\xxxxxx.vscode\extensions\teros-technology.teroshdl-6.0.1\node_modules\teroshdl2\node_modules\state-machine-cat\dist\commonjs\index.js
- c:\Users\xxxxxx.vscode\extensions\teros-technology.teroshdl-6.0.1\node_modules\teroshdl2\out\parser\fsm_base_parser.js
- c:\Users\xxxxxx.vscode\extensions\teros-technology.teroshdl-6.0.1\node_modules\teroshdl2\out\parser\ts_vhdl\fsm.js
- c:\Users\xxxxxx.vscode\extensions\teros-technology.teroshdl-6.0.1\node_modules\teroshdl2\out\parser\ts_vhdl\parser.js
- c:\Users\xxxxxx.vscode\extensions\teros-technology.teroshdl-6.0.1\node_modules\teroshdl2\out\parser\factory.js
- c:\Users\xxxxxx.vscode\extensions\teros-technology.teroshdl-6.0.1\node_modules\teroshdl2\out\documenter\documenter.js
- c:\Users\xxxxxx.vscode\extensions\teros-technology.teroshdl-6.0.1\node_modules\teroshdl2\out\documenter\export_t.js
- c:\Users\xxxxxx.vscode\extensions\teros-technology.teroshdl-6.0.1\node_modules\teroshdl2\out\index.js
- c:\Users\xxxxxx.vscode\extensions\teros-technology.teroshdl-6.0.1\out\features\language_provider\lsp\rust_hdl.js
- c:\Users\xxxxxx.vscode\extensions\teros-technology.teroshdl-6.0.1\out\features\language_provider\language_provider.js
- c:\Users\xxxxxx.vscode\extensions\teros-technology.teroshdl-6.0.1\out\teroshdl.js
- c:\Users\xxxxxx.vscode\extensions\teros-technology.teroshdl-6.0.1\out\extension.js
- e:\Program Files\Microsoft VS Code\resources\app\out\bootstrap-fork.js`
Hi, with 6.0.1(pre-release) it's worse : an fsm crashes the whole documentation Without fsm : ok
With fsm : no documentation and error "Cannot find module 'fast-json-stable-stringify'" `Cannot find module 'fast-json-stable-stringify' Require stack:
* c:\Users\xxxxxx.vscode\extensions\teros-technology.teroshdl-6.0.1\node_modules\ajv\lib\compile\index.js * c:\Users\xxxxxx.vscode\extensions\teros-technology.teroshdl-6.0.1\node_modules\ajv\lib\ajv.js * c:\Users\xxxxxx.vscode\extensions\teros-technology.teroshdl-6.0.1\node_modules\teroshdl2\node_modules\state-machine-cat\dist\commonjs\bundle.js * c:\Users\xxxxxx.vscode\extensions\teros-technology.teroshdl-6.0.1\node_modules\teroshdl2\node_modules\state-machine-cat\dist\commonjs\index.js * c:\Users\xxxxxx.vscode\extensions\teros-technology.teroshdl-6.0.1\node_modules\teroshdl2\out\parser\fsm_base_parser.js * c:\Users\xxxxxx.vscode\extensions\teros-technology.teroshdl-6.0.1\node_modules\teroshdl2\out\parser\ts_vhdl\fsm.js * c:\Users\xxxxxx.vscode\extensions\teros-technology.teroshdl-6.0.1\node_modules\teroshdl2\out\parser\ts_vhdl\parser.js * c:\Users\xxxxxx.vscode\extensions\teros-technology.teroshdl-6.0.1\node_modules\teroshdl2\out\parser\factory.js * c:\Users\xxxxxx.vscode\extensions\teros-technology.teroshdl-6.0.1\node_modules\teroshdl2\out\documenter\documenter.js * c:\Users\xxxxxx.vscode\extensions\teros-technology.teroshdl-6.0.1\node_modules\teroshdl2\out\documenter\export_t.js * c:\Users\xxxxxx.vscode\extensions\teros-technology.teroshdl-6.0.1\node_modules\teroshdl2\out\index.js * c:\Users\xxxxxx.vscode\extensions\teros-technology.teroshdl-6.0.1\out\features\language_provider\lsp\rust_hdl.js * c:\Users\xxxxxx.vscode\extensions\teros-technology.teroshdl-6.0.1\out\features\language_provider\language_provider.js * c:\Users\xxxxxx.vscode\extensions\teros-technology.teroshdl-6.0.1\out\teroshdl.js * c:\Users\xxxxxx.vscode\extensions\teros-technology.teroshdl-6.0.1\out\extension.js * e:\Program Files\Microsoft VS Code\resources\app\out\bootstrap-fork.js` 
This version should fix it: https://github.com/TerosTechnology/vscode-terosHDL/releases/tag/v6.0.2beta But not the problem with the css
Hi, FSM work with 6.0.3, but as you say the css problem stay TerosHDL is great but I need chronograms and FSM in my documentation, so, in all honesty, will this problem ever be solved or should I definitely stop hoping and move on to another solution for my VHDL documentation?
I don't know when I will fix the bug. If you need commercial support you can send me an email to: [email protected]
