OrdinaryDiffEq.jl
                                
                                 OrdinaryDiffEq.jl copied to clipboard
                                
                                    OrdinaryDiffEq.jl copied to clipboard
                            
                            
                            
                        Case of unstable initial condition finding with BrownFullBasicInit
This issue is from a discussion on discourse.julialang.org about ModelingToolkit.jl and that I used wrong start values for my ODE problem.
In short
I'm using the wrong start values u0 for x and y and during simulation I'll get an error:
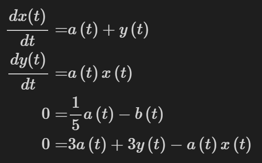
using ModelingToolkit
using OrdinaryDiffEq
@parameters t
@variables x(t) y(t) a(t) b(t)
der = Differential(t)
eqs = [der(x) ~ y + a,
       0 ~ 3*x - y,
       der(y) ~ a*x,
       0 ~ a/5 - b]
@named sys = ODESystem(eqs,t)
sys = dae_index_lowering(sys)
sys = structural_simplify(sys)
u0 = [y => 1.0,
      x => 3.0,
      a => 0.0]
p = []
tspan = (0.0,1.0)
prob = ODEProblem(sys, u0, tspan, p)
sol = solve(prob, Rodas4())
 Warning: Instability detected. Aborting
└ @ SciMLBase C:\Users\...\.julia\packages\SciMLBase\n3U0M\src\integrator_interface.jl:351
At that time I could not find the source of the error.
My suggestion would be to improve the error message so that a user gets an error like
Error: The initialization problem is inconsistent due to the following equation: 0 != 8 = 3*x - y
Aborting
(Error message in parts taken from OpenModelica).
I would argue for an error over a warning because then the user needs to fix the model and can't simply ignore the problem only the see it pop up in the next tool again.
CC @ChrisRackauckas
That's not the issue. As mentioned on Discourse, this solver can automatically find initial conditions. The issue is that if you check the return:
(solve(prob, Rodas4()))[1] = [3.0, 1.0, -Inf]
for some reason the initial condition finder failed and return a -Inf. So it's an error there.
Did you try the Shampine initialization?
We should add a warn and exit if the initialization fails though.
Did you try the Shampine initialization?
Not yet, but when I try it now it simulates, but the solution seems to be wrong and I don't seem to have the control on which start values are used.
u0 = [y => 1.0,
      x => 3.0,
      a => 0.0]
prob = ODEProblem(sys, u0, tspan, p)
sol = solve(prob, Rodas4(),  initializealg=ShampineCollocationInit())
I'll get sol(0) = [2.949931674070046, 0.8497950222101376, -50.91812095216428]=[x,y,a].
This violates equation y = 3*x.
The correct solution for this y=0.85 should be x=0.28, a=-0.94 (According to OpenModelica).
The wrong solution is probably because of sys = dae_index_lowering(sys) and not an issue of OrdinaryDiffEq.jl but SciML/ModelingToolkit.jl.
It is simply that an important equation y=3*x from the original system is missing in the reduced system.

The dummy-derivate method would be one way to solve this. I can open a ticket about this on SciML/ModelingToolkit.jl.
EDIT: Ah I see @kabdelhak already commented this on https://github.com/SciML/ModelingToolkit.jl/issues/988#issuecomment-935762807 yesterday.
Yes, that looks like it could be what's going on. Nice snooping.