Question about beta
Thank you for your work. I have learned a lot from it, but I have a question.
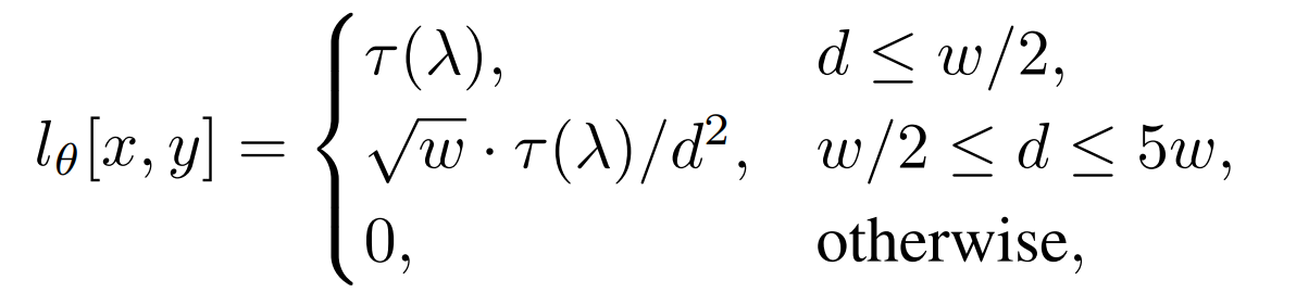
From the screenshot of the paper:

Full_light_end_y and light_end_y denote w/2 and 5*w, respectively.
But the code is:
full_light_end_y = int(math.sqrt(beta) + 0.5)
light_end_y = int(math.sqrt(beta * 20) + 0.5)
What is the correspondence between parameter beta and w?
Looking forward to your reply, thank you
Hi, thanks for your interest!
About the correspondence between parameter beta and w:
w = 2* int(math.sqrt(beta) + 0.5). That is, we use beta to decide the value of w.
Regarding light_end_y = int(math.sqrt(beta * 20) + 0.5), in which 20 is an experimental value, which decides where the color of light beam fades out, larger value (e.g., 100) means the light beam attenuate slower. 5w is a earlier version (sorry for the mistake).
Hope the info helps!
Thank you for your reply. I would also like to ask whether the formula w = 2 * int (math.sqrt (beta) + 0.5) is also an experimental value. How did you get 2 and 0.5?
Looking forward to your reply, thank you
Nope, either 2 or 0.5 is not an experimental value. Actually, the experiment starts with the beta, but considering width could be easier to be understood, so we use the width (w) in the paper. The formula w = 2 * int (math.sqrt (beta) + 0.5), in which: 0.5: int(x+0.5) is a common quantization method. 2: int (math.sqrt (beta) + 0.5) defines the distance between the current point and axis, thus it is half of the width.
Hope it helps~