Web - Transfer dialog path input should allow history browsing
Currently the path input has an autocomplete mechanism that will filter what is typed and present a list of candidates from matching history entries. In addition to this, it needs a way to allow users to simply browse the history (in cases they don't remember enough of the path to get a match). Probably a small button to display a drop down list would be sufficient.
Note: I thought this was supposed to be a feature of the auto-complete widget library being used. Need to investigate.

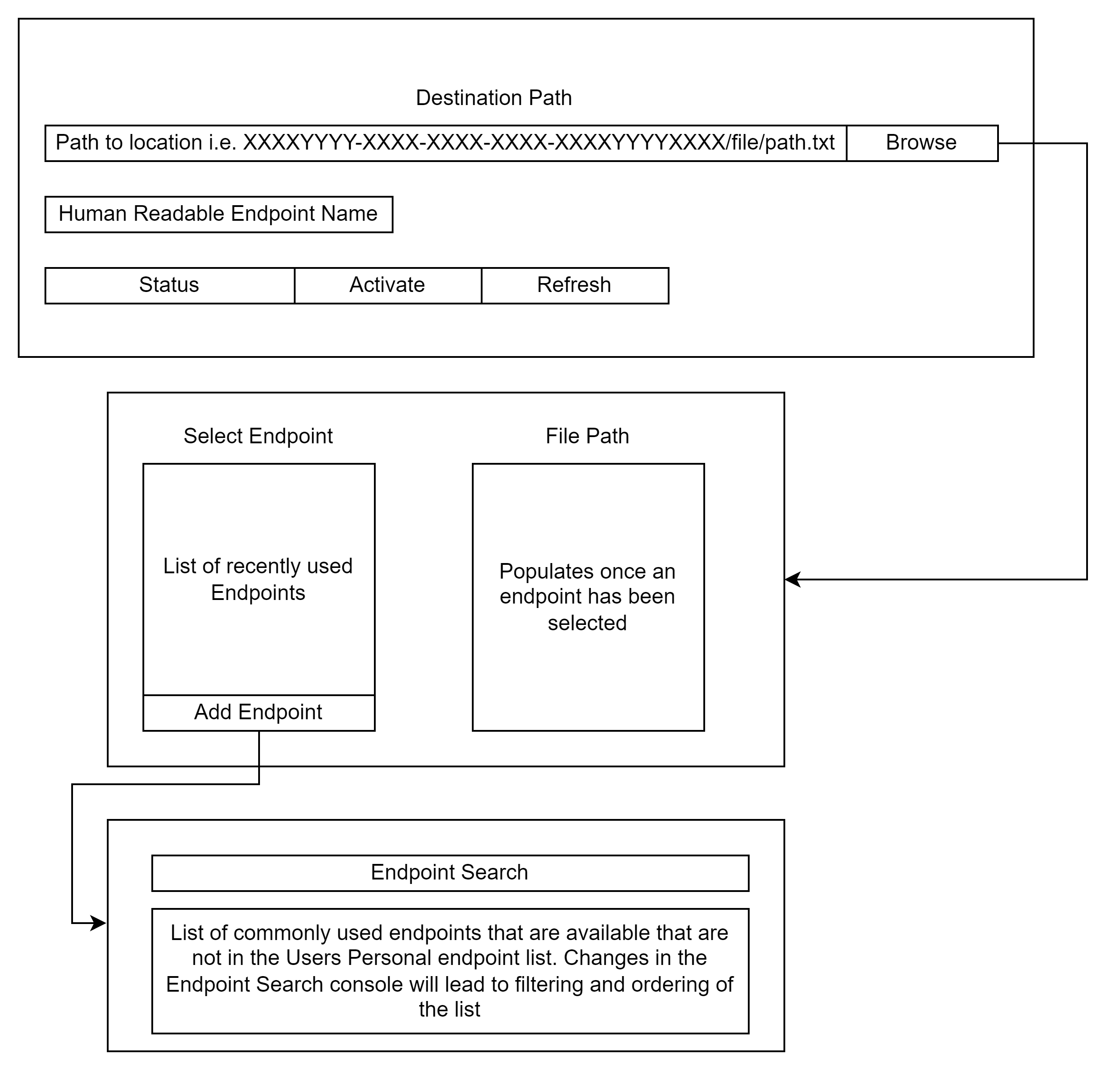
If this is the dialogue box you are talking about it needs quite a bit of work. It is not very intuitive that pasting into the text box "Destination path" at the bottom allows populating the "Destination Endpoint" in the top bar.
Really, I think this would be improved by having a design something like this (Rough Sketch below):

I agree, the UI could be improved considerably.