SiamTrackers
SiamTrackers copied to clipboard
关于 SiamRpn 训练的问题。
您好,我在使用 SiamRPN 包中的 my_train 进行训练是,报出一个错误。

其中预训练模型我是从别的别的包找到的(文件如下图)。是不是这个原因?

运行my_train的时候只需要加在alexnet网络权重就可以了. checkpoint_e41-16-up.pth 是已经训练好的模型, 当然也可以加在它来初始化网络进行重新训练. 报错信息很明确了,加载的state_dict里面没有关键字 epoch, state_dict和optimizer. 具体解决办法就是在加载 checkpoint_e41-16-up.pth 模型的时候取出关键字state_dict的内容.
您好,我找到原因了,应该是我找的预训练模型网络框架和RPN的网络框架不一致造成的。
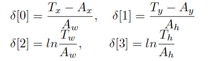
现在还有一个问题,我在看 下图归一化操作中。
在训练中无法保证对数的 真数始终大于0。我应该将其加上绝对值吗?


您好,我找到原因了,应该是我找的预训练模型网络框架和RPN的网络框架不一致造成的。
现在还有一个问题,我在看 下图归一化操作中。
在训练中无法保证对数的 真数始终大于0。我应该将其加上绝对值吗?
您好,请问您后来解决这个问题了吗?如何解决的?