Scale the vote investment slider logarithmically
This is a Feature Proposal
:tophat: Description
Putting the slider on a logarithmic scale means that we'd have more room to be precise to select a few votes, at the cost of less room to be precise when we put them almost all in.
For example, we could calibrate the scale to have the following behavior : up to 33% of the sliding bar we'd choose between 0 and 10, from 33% to 66% between 10 and 100, and between 100 and 1000 for the last third.
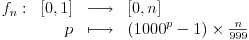
A function for the above example would be :
let n be the current total of votes
let p be the position of the handle

Amusingly, the 1000 in this formula is not directly related to the actual total of votes.
To be complete, and to show the correct length for already invested votes, we'd need the inverse function, mapping the quantity of votes to the fraction of the width of the bar :

One should note that these formulas do not exactly reflect the conditions stated above because of the zero f(0)=0 condition that makes the linear regression impossible, but they match closely enough :
f(0) = 0
f(33%) = 9
f(66%) = 99
f(1) = 1000
Another feature would be to show the current amount of selected votes right above the sliding handle, (and moving with it) in HUGE yellow numbers, so that they would show up right above your finger on mobile.
Ticks on the bar at 10 votes and 100 votes would probably help too.
Finally, the slider should not even show up until the user has selected one of the ballot options. We observed two separate new users being confused about it, trying the slider before ticking a ballot option, being denied, and assuming that's a bug, 'cause that's what users do. A little bit of brainstorm with them resulted in the ideas exposed above.
This all does not preclude having a way to fine-tune the amount of votes in the modal afterwards (see #153), but it would make the slider less shaky because it would not have to care for the sliding speed, nor repositionment, nor exceptions at the extrema.
:pushpin: Related issues
- #164
- #153
- #44
We will definitely implement a logarithmic scale on the slider. I agree with this. Did a basic implementation some time ago, but left it out due to other priorities. Thanks for bringing up the math.
It was our pleasure ; we actually had a lot of fun pinning the formulas down ! As a side note, maybe the slider should behave linearly for small totals of votes (instead of 1000 as it is now).