neural_graph_collaborative_filtering
neural_graph_collaborative_filtering copied to clipboard
Neural Graph Collaborative Filtering, SIGIR2019
I'm wondering how to calcuate nDCG paper? :confused: **Question:** The nDCG calculation needs the link predictions of all unobserved items, but It is not tractable(because of sparse density). What is...
temp_embed = [] for f in range(self.n_fold): temp_embed.append(tf.sparse_tensor_dense_matmul(A_fold_hat[f], ego_embeddings)) side_embeddings = tf.concat(temp_embed, 0) sum_embeddings = tf.nn.leaky_relu(tf.matmul(side_embeddings, self.weights['W_gc_%d' % k]) + self.weights['b_gc_%d' % k]) bi_embeddings = tf.multiply(ego_embeddings, side_embeddings) bi_embeddings = tf.nn.leaky_relu(tf.matmul(bi_embeddings,...
Could you release the pre-processing codes? Because I found the statistics of Gowalla dataset (after 10-core preprocessing ) is different with yours. Thanks so much.
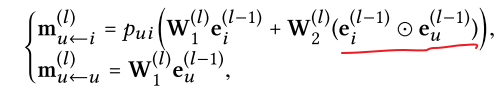
  the result from second image is not equal sum(first image red mark). i don't understand , the code use multiply too , could you give some detail ?...
hi, there is not a adj_type named "ngcf" in the code, only has "norm"、“plain” and “gcmc”. The default setting of adj_type is "norm", but the method of calculate the laplacian...
I did an experiment that delete the propagation on graph (comment line:194-221), which means that only do dot product. It is amazing that it can get comparible results in gollaw...
Hi, Thanks for making the code public! You mentioned the train/valid/test split in paper but I cannot find the validation data in this code. Could you provide the code that...
``` def _create_ngcf_embed(self): ... norm_embeddings = tf.math.l2_normalize(ego_embeddings, axis=1) ``` will caused `AttributeError: module 'tensorflow.math' has no attribute 'l2_normalize'` in tensorflow-gpu 1.8.0, so it should be `norm_embeddings = tf.nn.l2_normalize(ego_embeddings, axis=1)`
How to deal with the score of the original dataset? Is scoring an interaction? In a the five-grade marking system, if the user gives an item a score of 1,...