SVG icon indicating copy to clipboard operation
SVG copied to clipboard

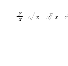
The text position on the image is incorrect when resetting pointsperinch (for example 100 200 300)

Open comepeng opened this issue 4 years ago • 2 comments

Description

The text position on the image is incorrect when resetting pointsperinch (for example 100 200 300)

Example data

Used Versions

comepeng avatar Sep 08 '21 04:09 comepeng

Can you give a few more details? What did you do exactly, what did the image look like?

mrbean-bremen avatar Sep 09 '21 04:09 mrbean-bremen

Svg data are as follows: <svg baseProfile="tiny" height="100%" version="1.2" width="100%" xmlns="http://www.w3.org/2000/svg" xmlns:ev="http://www.w3.org/2001/xml-events" xmlns:xlink="http://www.w3.org/1999/xlink"> <defs id="defs"> <marker xmlns="http://www.w3.org/2000/svg" id="arrowjyeoo" refX="16" refY="20" markerUnits="strokeWidth" markerWidth="100" markerHeight="100" orient="auto"> <path transform="translate(16 18)" fill="#000000" d="M 0 0 L 0 4 L 6 2 Z"></path> </marker> <marker xmlns="http://www.w3.org/2000/svg" id="arrowjyeoo1" refX="16" refY="16" markerUnits="strokeWidth" markerWidth="100" markerHeight="100" orient="auto"> <path transform="rotate(180) translate(-16 -18)" fill="#000000" d="M 0 0 L 0 4 L 6 2 Z"></path> </marker> </defs><g style="pointer-events:all;background: #ff6a00;"><line x1="45" y1="45" x2="62" y2="45" stroke="black" id="spot_3" stroke-width="1.5"></line><text x="50" y="40" data-layerX="704" data-layerY="272" opacity="1" font-family="JyeooHai-Main-Regular" font-size="14" fill="#000000" class="textinputshuru" id="spot_1" font-style="italic" font-weight="bold">y</text><text x="50" y="57" data-layerX="704" data-layerY="295" opacity="1" font-family="JyeooHai-Main-Regular" font-size="14" fill="#000000" class="textinputshuru" id="spot_2" font-style="italic" font-weight="bold">x</text><polyline points="115,33 95,33 85,55 80,45 77,50" stroke-width="1" fill="rgba(255, 255, 255, 0)" stroke="black" id="spot_7"></polyline><text font-family="JyeooHai-Main-Regular" fill="#000000" stroke-width="1.5" font-size="14" data-layerX="721" data-layerY="261" id="spot_6" x="99" y="51">x</text><polyline points="165,33 145,33 135,55 130,45 127,50" stroke-width="1" fill="rgba(255, 255, 255, 0)" stroke="black" id="spot_15"></polyline><text font-family="JyeooHai-Main-Regular" fill="#000000" stroke-width="1.5" font-size="14" data-layerX="721" data-layerY="261" id="spot_14" x="149" y="51" font-style="italic">x</text><text font-family="JyeooHai-Main-Regular" fill="#000000" stroke-width="1.5" font-size="14" data-layerX="721" data-layerY="261" id="spot_13" x="133" y="43" font-style="italic">y</text><text x="182" y="45" data-layerX="691" data-layerY="265" opacity="1" font-family="JyeooHai-Main-Regular" font-size="12" fill="#000000" class="textinputshuru" id="spot_21" font-style="italic">x</text><text x="175" y="50" data-layerX="682" data-layerY="274" opacity="1" font-family="JyeooHai-Main-Regular" font-size="14" fill="#000000" class="textinputshuru" id="spot_22" font-style="italic">e</text><text x="212" y="50" data-layerX="691" data-layerY="279" opacity="1" font-family="JyeooHai-Main-Regular" font-size="12" fill="#000000" class="textinputshuru" id="spot_23" font-style="italic">x</text><text x="205" y="45" data-layerX="682" data-layerY="274" opacity="1" font-family="JyeooHai-Main-Regular" font-size="14" fill="#000000" class="textinputshuru" id="spot_24" font-style="italic">e</text><text id="spot_25" fill="black" stroke-width="1" style="pointer-events: inherit; cursor: move; letter-spacing: 0px;" x="119" y="212" font-size="14" font-family="JyeooHai-Main-Regular" class="textinputshuru" opacity="1" data-layerX="NaN" data-layerY="NaN" text-decoration="" font-weight="" font-style="">安装字体之后</text></g></svg>

My code is like this:

  SvgDocument svgDoc = SvgDocument.Open(xmlDoc);             
  var svgBitmap = svgDoc.Draw();
  svgBitmap.Save("test.png", ImageFormat.Png);

The output picture is like this: text When I set SvgDocument.PointsPerInch = 300;

My code is as follows:

  SvgDocument.PointsPerInch = 300;
  SvgDocument svgDoc = SvgDocument.Open(xmlDoc);             
  var svgBitmap = svgDoc.Draw();
  svgBitmap.Save("test.png", ImageFormat.Png);

The output picture is like this: text You can see that the text is offset from its original position

comepeng avatar Sep 13 '21 02:09 comepeng