Kilian Vos
Kilian Vos
very interesting, I had also noticed something similar, thanks for updating us on this, will change from Collection 1 to Collection 2 hoping that the formats are the same. cheers,...
it seems as simple as just changing `C01` to `C02` in the collection name. Any changes in `C02` that you are aware of in the past data? The algorithm was...
just saw this warning in the Google Earth Engine page:  I am testing using Collection 2 and so far found that there were only half the L5 images at...
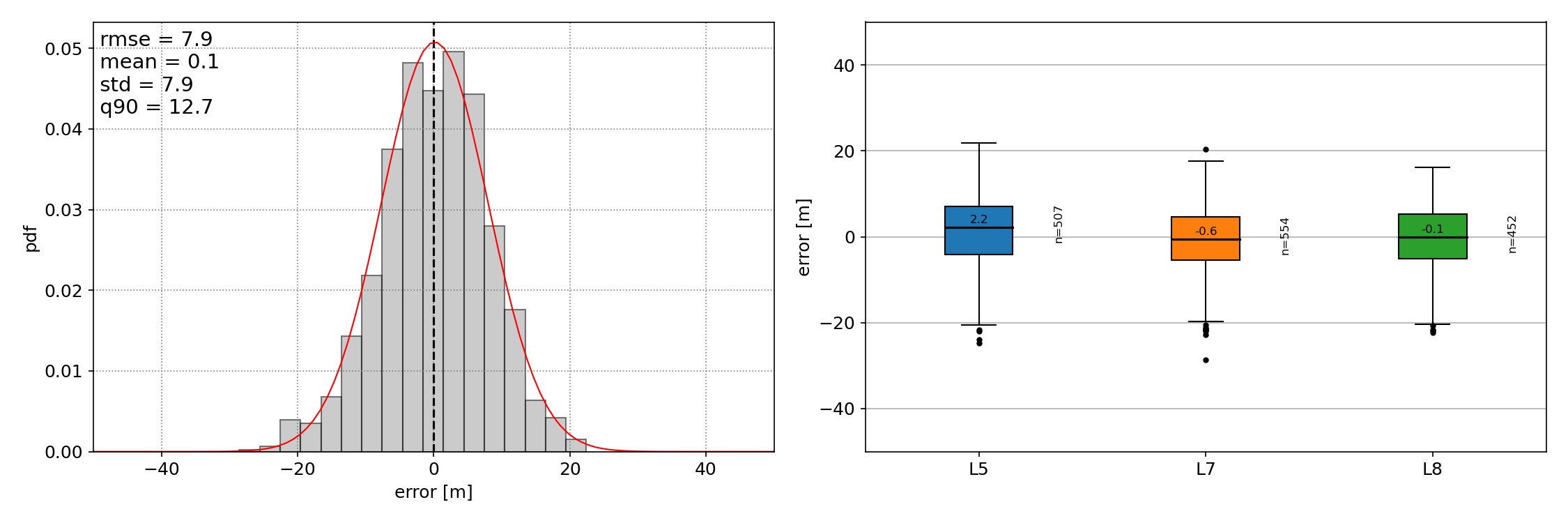
@VINCENTAFERRER this is the comparison for the normal coastsat using Landsat Collection 1 at Narrabeen (along 5 surveyed transects):       I tried to replicate the...
ok cool that should be a quick change, I will do this soon!
hi @VINCENTAFERRER , I think it's at the stage where you can test out if collection 2 works. I implemented it in the development branch, you can choose to either...
thanks for having a look. I think it's normal to have variable number of images from the two collections, as by reprocessing Collection 2, some images may have been moved...
hi @Noza1212 , this is a very good point. For Landsat images, the georeferencing accuracy is stored in the metadata (also in the `output` with the shorelines) and you can...
yep, doco is here https://danschef.gitext-pages.gfz-potsdam.de/arosics/doc/ and there's also a paper on it https://www.mdpi.com/2072-4292/9/7/676
sounds great, thanks for having a look! I can modify the way the images are downloaded if you let me know which bands/metadata is needed. Could you share a snippet...