Flickr4Java
Flickr4Java copied to clipboard
Java API For Flickr. Fork of FlickrJ
### Subject of the issue Latest data does not show at front-end after submitting form in my custom module ### Your environment * Magento2 * version of 2.4.3-p1 ### Expected...
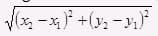
### I need to write a formula to determine the distance between two points in a plane in **C++**. ### Here is the formula:  _I wrote such a code...
10x10 luk Bir Matris Tanımlanıcak Bunun Değerleri 100-200 Arasında Rastgele Olucak Köşegenler Üzerinde Yer Alan Sayıların Toplamını Veren Bİr Kod Lazım A 10x10 Matrix Will Be Defined, Its Values Will...
### Subject of the issue like (if admin login it will go to admin panel if other user login it will go to their panel)? I developed simple authentication app...
### Subject of the issue Please add to PeopleInterface the method flickr.people.search ### Your environment * 2.16 * 1.8
Example code for issue #443
i observed that there seem no timeouts in flickr4java: it could happen that flickr api operation run forever. In my case this always happens on isp-24h reconnect. would it be...
There's a lot of classes like PhotoList which seem to be just a way to make a list typesafe. We can do this in 1.5 with Generics. It could mean...
When uploading large files, a stream is passed to the API: ``` java Flickr.getUploader().upload(InputStream, params) ``` However, REST.java buffers everything in to a ByteArrayOutputStream before passing it to the scribe...