simple-faster-rcnn-pytorch
simple-faster-rcnn-pytorch copied to clipboard
A simplified implemention of Faster R-CNN that replicate performance from origin paper
Hi to everyone, I encounter a strange issue. Due to some reason, I am not able to use visdom on my PC so I was trying to save the images...
My server has multi gpus, when I change '.cuda()' to '.cuda(1)', exception occured: cupy.cuda.driver.CUDADriverError: CUDA_ERROR_INVALID_HANDLE: invalid resource handle I also add 'os.environ["CUDA_VISIBLE_DEVICES"] = 1', but it doesn't work. Can anyone...
I want to use another GPU on my computer, but when I change all .cuda() to .cuda(2) this error occured: `cupy.cuda.driver.CUDADriverError: CUDA_ERROR_INVALID_HANDLE: invalid resource handle` What can I do to...
Hi, I read about your code in https://github.com/chenyuntc/simple-faster-rcnn-pytorch/blob/master/utils/eval_tool.py#L200 which is as below: selec = np.zeros(gt_bbox_l.shape[0], dtype=bool) for gt_idx in gt_index: if gt_idx >= 0: if gt_difficult_l[gt_idx]: match[l].append(-1) else: if not...
Hi, I use my data like voc dataset in this project.and I have met some problem. First, I replace the offical voc data(20 classes) by my own data(5 classes). and...
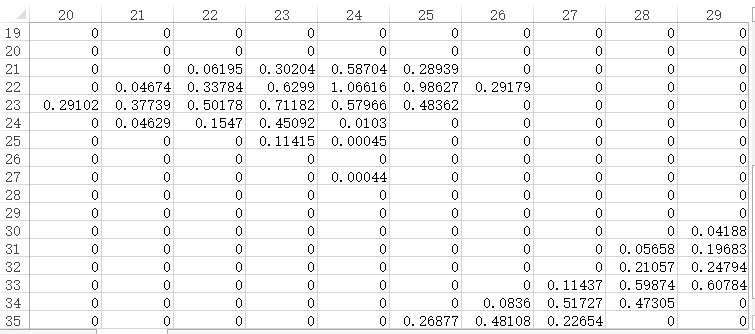
 上图是我保存rool pooling池化过程中第0个通道的特征图,所有的rois坐标和第0个rois池化后的结果    shang上面三个图分别是特征图,rois和池化后保存的结果。 第一个问题:我从第0个rois得到缩小16倍的位置在7,8,9,10列。请问这个位置应该是四舍五入还是取整? 第二个问题:假设在四舍五入的情况下,我得到xy的起终点坐标为[21, 20]->[27, 31](注意excel以1开始).得到对下面部分的最大池化  得到12*7的大小,我们要池化为7*7。请问您是怎么对着12划分的呢?比如池化后的第一行,对应特征图的那几行呢?由于rol-pooling是cupy写的,有点看不懂。请问有木有一个公式?
Hello there. What is the numpy version of the study? My computer always prompts that numpy( numpy-1.18.1) is missing various libraries. such as: `Traceback (most recent call last): File "D:/a_zhy/object_detection/simple-faster-rcnn-pytorch-master/train.py",...
so this function is to move a given bbox (src_bbox) to offset (loc) which is given as (dy,dx,dh,dw) src_height = src_bbox[:, 2] - src_bbox[:,0] src_width = src_bbox[:, 3] - src_bbox[:,...