forum
forum copied to clipboard
关于mathtools宏包dcases环境的行距问题
\documentclass{article}
\usepackage{mathtools}
\begin{document}
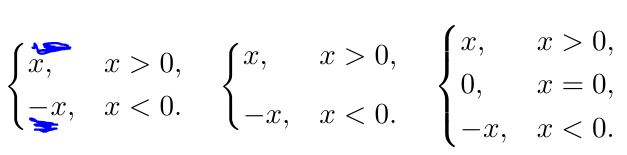
\[
\begin{dcases}
x, & x>0,\\
-x,& x<0.
\end{dcases}
\quad
\begin{dcases}
x, & x>0,\\[5pt]
-x,& x<0.
\end{dcases}
\quad
\begin{dcases}
x, & x>0,\\
0, & x=0,\\
-x,& x<0.
\end{dcases}
\]
\end{document}
我用dcases环境排分段函数,如果是三行及以上,左括号包围的空白比较少;如果是两行,左括号包围的空白较多;当两行时,我手动加了
\\[5pt],效果比较好。我的问题是,能否自动判断,假如只有两行,则行距自动加5pt?
利用 tabularray 宏包, 可以定义一个类似的 +dcases 环境,实现所需的结果:
\documentclass{article}
\usepackage{mathtools}
\usepackage{tabularray}
\UseTblrLibrary{amsmath}
\NewDocumentEnvironment{+dcases}{O{}+b}{
\left\lbrace\begin{+array}{
column{1} = {leftsep = 0pt}, column{Z} = {rightsep = 0pt},
colspec = {Q[l,$$]Q[l,$$]}, stretch = 1, rowsep=1.5pt,
hborder{2} = {
abovespace = \ifnum\value{rowcount}>2 1.5pt\else 4pt\fi,
belowspace = \ifnum\value{rowcount}>2 1.5pt\else 4pt\fi,
},
row{1} = {abovesep=0.5pt}, row{Z}={belowsep=0.5pt}, #1,
}
#2
\end{+array}\right.
}{}
\begin{document}
\section{\texttt{dcases}}
\[
\begin{dcases}
x, & x>0,\\[5pt]
-x,& x<0.
\end{dcases}
\quad
\begin{dcases}
x, & x>0,\\
0, & x=0,\\
-x,& x<0.
\end{dcases}
\quad
\begin{dcases}
\frac1x, & x>0,\\
0, & x=0,\\
x,& \frac1x<0.
\end{dcases}
\]
\section{\texttt{+dcases}}
\[
\begin{+dcases}
x, & x>0,\\
-x,& x<0.
\end{+dcases}
\quad
\begin{+dcases}
x, & x>0,\\
0, & x=0,\\
-x,& x<0.
\end{+dcases}
\quad
\begin{+dcases}
\frac1x, & x>0,\\
0, & x=0,\\
-x,& \frac1x<0.
\end{+dcases}
\]
\end{document}
