Recommender-Systems-for-Implicit-Feedback-datasets icon indicating copy to clipboard operation
Recommender-Systems-for-Implicit-Feedback-datasets copied to clipboard

could you please list the papers that explain the loss function

Open wyfoffice opened this issue 7 years ago • 2 comments

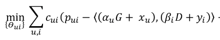
The loss function in the part Augmented Alternating Least Squares (Augmented-ALS) is quite puzzle to me, would you mind attaching the links of papers that related to this loss function? more specifically, I wish to know this part: image why can we add the auG to the latent factor vector? As auG is about the user information while xu is to the User-Item matrix

Thanks in advance!

wyfoffice avatar Jul 14 '18 06:07 wyfoffice

hi,, this is one way of augmenting the latent factor with a projection of the user/item's features. A similar approach was used in https://arxiv.org/abs/1609.02116 Hope this helps clarify the loss function

CSKrishna avatar Jul 14 '18 08:07 CSKrishna

Great! Many thanks to you!

wyfoffice avatar Jul 14 '18 08:07 wyfoffice