apollo icon indicating copy to clipboard operation
apollo copied to clipboard

planning osqp P matrix is incorrectly formated

Open col-in-coding opened this issue 3 years ago • 6 comments

OSQP needs only the elements in its upper triangle part for the P matrix

col-in-coding avatar Aug 18 '22 06:08 col-in-coding

Apollo用的OSQP版本是0.5.0,所以输入的P矩阵(对称半正定矩阵)既可以是上三角矩阵,也可以是完整的对称矩阵。我测试过,0.6.2版本的OSQP要求输入的P矩阵必须是上三角矩阵,否则会报错

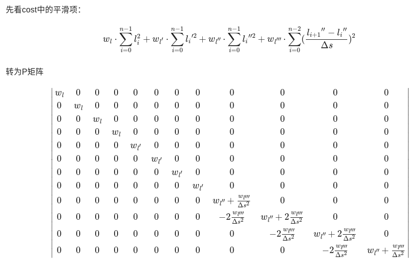
但是,Apollo里面piecewise_jerk_path_problem和piecewise_jerk_speed_problem输入的P矩阵既不是上三角矩阵,也不是对称矩阵,而是一个下三角矩阵 image 从矩阵乘法角度来看,非对角线元素放在一侧或者拆成一半放在对角线两侧结果是一样的,但是对于OSQP求解器来讲结果就不一样 我做了如下的测试 image 上图是我截取的一张图片,其中H对应P矩阵,f对应q矩阵,我把OSQP计算得到的结果再代入目标函数,得到的结果与OSQP打印的obj_val是一致的 但如果把H矩阵变成[1 0; -2 2],则用0.5.0版本的OSQP也能计算出结果,但将结果代入到目标函数中得到的值与OSQP得到的obj_val是不一致的 总的一句话,就是Apollo piecewise jerk填充P矩阵的代码是有问题的,这个问题影响的是对jerk的优化,因为目标函数中只有jerk这一项会产生P矩阵的非对角线元素

@daohu527

nkuwenjian avatar Oct 26 '22 07:10 nkuwenjian

https://github.com/ApolloAuto/apollo/issues/13455

jilinzhouas avatar Dec 02 '22 03:12 jilinzhouas

我按照commit里面改了报错ERROR in LDL_factor: Error in KKT matrix LDL factorization when computing the nonzero elements. The problem seems to be non-convex

ycdhqzhiai avatar Dec 09 '22 09:12 ycdhqzhiai

我按照commit里面改了报错ERROR in LDL_factor: Error in KKT matrix LDL factorization when computing the nonzero elements. The problem seems to be non-convex

我也出现了,还需要修改位置,这个函数对矩阵的构造有严格的限制

zhaofuxie avatar May 30 '23 00:05 zhaofuxie

我按照commit里面改了报错ERROR in LDL_factor: Error in KKT matrix LDL factorization when computing the nonzero elements. The problem seems to be non-convex

我也出现了,还需要修改位置,这个函数对矩阵的构造有严格的限制

列向量的填充需要是按顺序的,需要调整代码的位置

chenjian88888 avatar Jan 26 '24 09:01 chenjian88888